近日,许昌市市场监督管理局魏都区分局联合市公安局魏都分局、区自然资源和规划分局等部门组成专项执法组,对辖区内花鸟市场开展野生动物保护联合执法行动。本次行动通过“监管 + 宣传”双管齐下,进一步规范市场经营秩序,筑牢野生动物保护与生态安全屏障。 此次专项行动聚焦花鸟市场中鸟类等野生动物及其制品的非法交易问题。多部门依据职责分工,对市场内各摊位开展拉网式排查。执法人员重点核查经营商户的营业执照、野生
随着秋季学期全面开启,校园食品安全再度成为社会关注焦点。近日,在全区范围内组织开展秋季学校食堂食品安全专项检查行动。通过提前介入指导、联合执法督查、智慧监管赋能等创新举措,全力筑牢校园食品安全防线,保障广大师生饮食安全。 为确保检查工作取得实效,华州区市场监督管理局坚持“预防为主、风险管理、全程控制”的原则,在新学期开学前即启动“提前介入”机制。执法人员主动上门,指导各学校、幼儿园坚持以发现问题
群众办事的“小窗口”,折射的是政府服务的“大形象”。近年来,河南省新乡市市场监督管理局高新区分局坚持以人民为中心的发展思想,聚焦企业和群众在办事过程中反映强烈的“急难愁盼”问题,创新服务模式,优化办事流程,通过一系列有温度、有力度的举措,切实提升群众的获得感、满意度,助力区域营商环境持续优化。 精准服务特殊群体,传递政务温度 “工作人员耐心又细心,帮我省了不少事!”年过七旬的张先生在高新区分局
金秋的中原大地,处处洋溢着五谷丰登的喜悦。9月初,河南省宣布今年中国农民丰收节将飘出浓浓“土味儿”—创新推出“赛会节”一体化模式,让农民兄弟们既能在篮球场上挥洒汗水,又能在丰收大集上畅享丰收喜悦。这场丰收盛宴将在有着“苹果之乡”美誉的三门峡市域的灵宝市举行,主会场设在焦村镇。这里地处豫晋陕三省交界处,农耕文化底蕴深厚,是远近闻名的农业重镇。 9月23日秋分时节,咱们农民自己的节日一一第八个中
摘要:本文聚焦食品卫生检验标准实施领域,深入阐述食品卫生检验标准有效实施的重要意义,结合行业实际情况剖析当前存在的标准体系不完善、执行监管不到位、检验技术与人员素质有待提高等问题,并针对性地提出完善标准体系、加强执行监管、提升检验技术与人员素养等建议,旨在保障食品卫生检验标准有效落实,全面提升食品安全保障水平,切实维护公众健康权益,为食品行业健康可持续发展提供理论支撑与实践指导。
摘要:高校食堂食品安全直接关系师生身体健康与校园稳定,构建科学有效的风险防控体系是高校后勤管理的核心任务。当前,高校食堂食品安全监管存在外部严、内部弱的困境。食品安全隐患多与内部操作不规范相关,若不及时整改,易引发严重的食品安全问题。本文聚焦内部报告奖励机制,系统探讨其作用、构建路径及实践方法,提出制度保障、渠道优化、奖励适配、文化培育四维框架,通过设计分层奖励标准和匿名保护机制,推动监管从被动处置转向主动预防。研究旨在为高校食堂食品安全治理提供新范式,对提升校园公共安全治理能力具有实践价值。
摘要:奶粉作为特殊人群日常营养的主要来源,其生产过程中的食品安全风险一直备受行业和监管部门关注。本文系统梳理奶粉生产各环节可能存在的生物性、化学性、物理性及过程性风险类型,并探讨基于实际生产的多维度风险识别方法。在此基础上,针对已识别出的风险点,提出涵盖原料采集、工艺加工、设备环境与仓储运输的全过程防控策略,以期为奶粉生产企业完善风险监测与应急处置体系、提升食品安全保障能力提供参考。
摘要:为提升高校食堂食品安全管理水平,助力构建校园食品安全保障体系,本文分析高校食堂加工备餐环节存在的食品原料采购与储存管理不当、加工操作流程不规范、餐具清洗消毒不彻底、从业人员食品安全意识淡薄等问题,并针对性提出规范原料采购与储存、强化加工过程监管、加强餐具消毒管理、提升从业人员素养等控制策略。
摘要:本文聚焦食品安全监管体系中农药残留检测的难点,针对抽检方案设计科学性不足、基层检测能力薄弱、全链条追溯机制不完善3个关键问题,提出针对性优化路径,旨在为提升我国食品安全风险防控效能提供理论参考,强化从农田到餐桌的全过程监管能力。
摘要:为有效预防中职院校食堂食品安全风险,保障师生饮食健康与校园稳定,本文分析中职院校食堂在食品采购、储存、加工以及检测与监管等关键环节中存在的主要食品安全隐患,并提出加强源头控制、优化储存环境、规范加工流程以及健全监管机制等具体可行的防控对策。
摘要:区块链技术以其去中心化、不可篡改等特性,为破解食品安全溯源难题提供了新思路。本文在梳理“一村一品”食品安全溯源现状的基础上,剖析数据造假、标准缺失、农户参与度低等关键问题,并从数据采集、政策监管、利益相关方协同等维度,提出基于区块链的“一村一品”食品安全溯源策略创新路径,以期为特色农产品实现优质优价、助力产业振兴赋能。
摘要:随着学校规模的持续扩大和集中供餐模式的广泛普及,校园食品安全问题日益受到社会关注。本文聚焦校园食品安全管理的优化对策展开研究,通过系统分析当前校园食品安全管理面临的责任体系界定模糊、供应链管理存在漏洞、信息化水平较低及从业人员素质参差不齐等主要问题,提出强化责任体系建设、实施供应链全流程管理、深化信息化技术应用及加强从业人员专业培训等优化对策,以期有效提升校园食品安全管理水平,为学生身心健康成长筑牢基础保障,同时推动教育治理能力现代化。
摘要:随着我国产业结构的持续深化调整,食品产业链已呈现高度复杂化发展态势。传统抽检制度在频次规划、对象筛选及技术应用等方面逐渐难以满足产业变革新需求。食品安全风险正从原料供应、生产加工等上游环节向预制菜、即时配送、电商销售等终端场景蔓延,呈现链条延伸化、风险隐蔽化、场景多元化等特征。本文剖析产业结构调整背景下食品产业格局变迁特征,并提出构建等级制风险抽检体系、完善终端导向型布点机制、推动实验室检测与智能快检双轨协同、搭建跨部门数据共享平台及建立社会共治机制等优化路径。
摘要:食品安全是重大的民生问题和公共安全问题,直接关系到人们的身体健康和生命安全,关乎经济社会发展大局。本文从公共管理视角出发,系统剖析我国食品安全审计机制的现状与突出问题,通过比较和借鉴国外典型模式的核心经验,构建多元协同、全链条覆盖、制度健全的食品安全审计优化路径。研究表明,当前我国食品安全审计存在主体单一、链条断裂、结果运用不足等结构性矛盾,需以公共治理理论为指导,强化政府主导力、激发社会参与力、提升技术支撑力。
摘要:近年来,餐饮企业“外摆菜”成为城市商业的新亮点,不仅为消费者提供了独特的体验,还为餐饮企业开拓了新的市场。本文深入剖析餐饮企业“外摆菜”食品安全监管在法规标准、监管能力、主体责任、协同治理及社会参与等方面存在的问题,从完善监管法规与标准体系、提升监管能力与技术水平、强化经营主体责任落实、构建跨部门协同监管体系、提高消费者食品安全意识与监督参与度等多个维度提出针对性的监管对策,旨在构建完善的“外摆菜”食品安全监管体系,守护消费者“舌尖上的安全”,推动“外摆”经济健康有序发展。
摘要:随着数字经济时代的到来,传统的食品质量监管模式已经难以适应越来越复杂多变的食品安全形势,监管效能也无法满足公众日益增长的安全需求。本文全面梳理当下加强食品质量监管的必要性,并深入研究现阶段食品质量监管面临的挑战,结合实际情况,提出切实可行的应对策略,以提升食品质量监管效能。
摘要:目的:查明霍乱疫情暴发的原因,为霍乱疫情处置提供借鉴。方法:通过现场流行病学调查、卫生学调查和实验室检测,确定可疑食物和污染的危险环节。结果:本次疫情确诊病例1例,无症状带菌者1例,无死亡病例,罹患率为 0.67% ;人群样本阳性率为 1.46% ,环境样本阳性率为 4.80% ,食物样本阳性率为 2.44% ,其中1份聚餐同批次甲鱼和2份存放甲鱼的环境涂抹样检出霍乱弧菌。结论:本次疫情由聚餐引起,致病原因可能是甲鱼污染餐具或食物。后续相关部门应加强农村聚餐卫生指导和管理,加强医防协同和区域协同,强化监测预警和风险评估,强化实验室建设,以及时诊断和快速处置霍乱疫情。
摘要:食品安全监督抽检制度是现代食品安全治理体系的重要组成部分,是市场监管部门履行监管职责的关键手段。文章结合食品安全监督抽检的作用,分析食品监管中食品安全监督抽检存在的抽检覆盖面不足、抽检标准不统一、抽检结果处理不合理等问题,提出扩大抽检覆盖面、统一抽检标准、优化抽检结果处理等解决对策。
摘要:食品安全与人们的身体健康、企业发展、社会稳定息息相关,是公众普遍关注的焦点问题。尽管我国长期大力开展食品安全监管工作,但是食品安全问题仍然频发。本文结合国内外食品安全监测数据,深入分析当前食品安全监管领域存在的主要问题及应对措施,旨在为完善食品安全治理体系、提升风险防控能力提供参考和建议。
摘要:食品检验检测是保障食品安全的核心环节。本文从仪器设备、检测试剂、样品管理及检测环境4个维度剖析当前食品检验检测中的质量控制难点,并提出针对性的优化措施,旨在提升检验检测结果的准确性与可靠性,为食品安全监管提供科学支撑。
摘要:基层检验检测机构作为食品安全监管的前沿力量,承担着食品添加剂日常检测的重要职责。本文以强化基层检验检测机构食品添加剂检测的重要性为出发点,深入剖析基层机构在检测实践中面临的挑战,并提出针对性优化建议,旨在提升基层检验检测机构的食品添加剂检测效能,筑牢食品安全监管的第一道防线。
摘要:食品检验检测机构在国家食品安全抽样检验中发挥着极为重要的作用。其出具的检验数据是市场监管部门决策的重要依据,也关系着公众的身体健康与生命安全。本文分析食品检验检测机构承担的国家食品安全抽样检验项目运行过程中在抽样、制样、检验及报告等环节容易出现的质量管理问题,并结合实际提出切实可行的优化策略,以期为食品检验检测机构提升检验检测效率与质量管理水平提供参考。
摘要:在食品安全监管体系持续完善的背景下,基层食品检测机构微生物检测能力建设成为保障食品质量安全的重要基础。本文通过深入分析基层食品检测机构微生物检测工作体系,识别出检测人员专业素质偏低、技术方法落后单一等关键问题,并提出人员培训体系化、技术方法现代化等系统性改进策略,为提升基层微生物检测能力提供理论支撑和实践指导。
摘要:本文分析当前食品添加剂检测流程中样品采集、检测设备、人员操作及环境条件等方面存在的典型问题,并提出针对性优化对策,旨在为提升食品添加剂检测质控水平、完善食品安全监管体系提供理论参考。
摘要:在消费升级和健康意识不断增强的背景下,乳制品质量安全成为社会关注焦点。本文通过深入分析我国乳制品加工质量安全管理体系,识别出生产源头质量控制能力薄弱、加工过程质量管理水平参差不齐等关键问题,并提出强化源头质量控制、提升加工管理水平等系统性提升策略,为推动乳制品行业高质量发展提供理论支撑和实践指导。
摘要:随着我国农产品加工业快速发展,质量安全管理面临多主体、多环节的协同与风险防控压力。信息追溯作为提升加工环节质量安全水平的重要手段,在完善数据基础、强化过程透明、健全协同治理等方面发挥着关键作用。本文结合农产品加工质量安全管理现状,分析了信息追溯在加工环节的具体作用,梳理了现存主要问题,并从体系建设、技术应用和协同机制等方面提出了针对性优化策略,以期为完善农产品加工质量安全管理提供参考。
摘要:聚焦生鲜电商冷链物流,本文深入剖析生鲜品类特性与冷链需求差异,揭示冷链服务场景面临的特殊挑战;通过解析成本结构与行业痛点,指出固定成本与需求波动、变动成本匹配效率、隐性成本积累等问题,以及非标品包装、短保期周转、消费者认知等生鲜属性根源障碍;构建服务质量评价体系,明确物理、体验、可持续指标,分析县域市场基础设施、第三方企业数字化水平、消费者支付意愿等服务水平提升瓶颈;提出基于生鲜品质周期的动态协同、差异化品类协同、技术驱动精准协同、供应链协同降本四大策略,为生鲜电商冷链物流成本优化与服务质量协同提供理论支持与实践路径。
摘要:为提升农产品农药残留检测的准确性,筑牢食品安全防线,深入分析影响检测结果可靠性的关键因素至关重要。研究发现,样品采集与前处理操作不规范、检测设备性能不足、检测人员专业能力欠缺及检测环境条件控制不当等因素,共同影响检测结果的精准度。对此,本文提出优化样品管理流程、加强检测设备规范化管理、强化人员专业技能培训、严格控制环境条件等改善措施,以提升农产品农药残留检测的整体水平与结果公信力。
摘要:本文对比分析了高效液相色谱法、酶联免疫法与胶体金快速定量法测定食用油中AFT ΔB1 的准确度、精密度及实际应用效果。结果表明,3种检测方法均符合相关标准要求,适用于不同的检测场景。胶体金快速定量法适合定性筛查,酶联免疫法适合高通量检测,高效液相色谱法准确度高、稳定性好,可用于快检方法阳性样品的复核确证。
摘要:为建立一种高效、准确的高效液相色谱方法,用于果汁中阿斯巴甜的定量分析,采用 AgilentZORBAXSB- ?C18 色谱柱( 250mm×4.6mm , 5μm ),以乙腈与 0.1% 磷酸水溶液为流动相进行等度洗脱,流速为 1.0mL?min-1 ,柱温 30qC ,检测波长 210nm ,进样体积 10μL ,样品经 0.45μm 滤膜过滤(高果肉样品需先离心)后直接进样。结果表明,目标物质质量浓度在 0.5~100.0μg?mL-1 时线性关系良好,相关系数大于0.999,检出限为 0.12μg?mL-1 ,定量限为 0.4μg?mL-1 ,平均回收率为 98.5%~ 101.2% 。该方法准确、可靠,适用于果汁饮料中阿斯巴甜的日常检测,能够为果汁产品质量控制提供可靠的分析手段。
摘要:本研究以卤板鸭卤水为对象,探究微生物菌群调控对其防腐物质的影响。在卤水中添加不同微生物菌群,定期检测卤水的理化指标、微生物数量以及防腐物质种类和含量。结果表明,添加乳酸菌和酵母菌的复合菌群,可提高卤水中有机酸含量,降低pH值,抑制有害微生物生长,并促进生成一些具有防腐作用的挥发性物质。
摘要:通过优化国标检测方法的色谱条件,本研究建立了毛细管气相色谱法测定老白干白酒中乙酸乙酯、己酸乙酯、乳酸乙酯质量浓度的分析方法。结果表明,3种酯类风味物质色谱分离效果较好,在各自质量浓度范围内线性关系良好,方法检出限、定量限较低,灵敏度较高,相对标准偏差为 1.07%~2.22% ,加标回收率为 94.3%~ 101.2% ,可满足老白干白酒中3种酯类风味物质的定量检测需求。
摘要:为了解不同提取方法对薄壳山核桃油脂品质的影响,采用正己烷萃取法、冷压榨法、超临界CO2 萃取法和水代法对薄壳山核桃油进行提取,并对其理化性质、脂肪酸组成和生育酚质量浓度进行比较分析。结果表明,正己烷萃取法的提油率最高( 73.36% ),油脂的皂化值和碘值最低,生育酚质量浓度最高( 314.73mg.kg-1 );冷压榨法提取的油脂氧化程度最低,生育酚质量浓度相对较低;超临界 CO2 萃取法提取的油脂中单不饱和脂肪酸和不饱和脂肪酸质量分数最高,相对更容易氧化;水代法提取的油脂中生育酚质量浓度、皂化值、碘值相对较高,但提油率较低(不足 50% )。
摘要:可食用香料产品质量一致性评价能够保证食品风味一致性。本文基于傅里叶变换离子回旋共振质谱(Fourier Transform Ion Cyclotron Resonance Mass Spectrometry,FT-ICR-MS)结合不添加内标物的手动进样策略建立了一种快速分析香料质量的方法,采用降噪、插值与归一化预处理质谱数据,相关系数法筛选样品重复测试中的异常值,主成分分析法评价插值后数据的质量,以验证压缩数据是否具有可行性。结果表明,正离子模式下香料A和香料B的未稀释样品分别被划分到甲醇体积分数 0%~2% 与 0%~3% 范围内,实际生产中可将此范围内的样品认定为质量合格。负离子模式样品响应低,优先考虑正离子模式评价可食用香料。
摘要:目的:评价乳清发酵粉对常见食源性致病菌(大肠埃希菌、金黄色葡萄球菌)及腐败真菌(青霉菌、黑曲霉)的抑菌作用,并考察其经高温处理后的抑菌活性稳定性,为天然食品防腐剂的开发提供依据。方法:在营养琼脂中分别添加乳清发酵粉至终质量分数为 0.1% ! 0.3% 7 0.5% 及 0.7% ,观察其对大肠埃希菌、金黄色葡萄球菌、青霉菌和黑曲霉生长的影响,并评估经高温处理后对大肠埃希菌、金黄色葡萄球菌的抑菌效果。结果:乳清发酵粉在终质量分数为 0.5% 和 0.7% 时,对大肠埃希菌和金黄色葡萄球菌生长具有显著抑制作用;高温处理后抑菌活性未见明显下降,表现出良好的热稳定性。然而,对青霉菌和黑曲霉生长未观察到明显抑制作用。结论:乳清发酵粉对大肠埃希菌和金黄色葡萄球菌具有显著且热稳定的抑菌效果,为其作为热加工食品中的天然防腐剂提供了理论依据。
摘要:本研究建立了一种仪器需求小、技术门槛低、检测效率高的矿泉水中硒形态物质检测方法。以偏最小二乘法替代常规的色谱分离方法,结合原子荧光光谱对亚硒酸盐和硒代半胱氨酸实现准确、便捷、高效的检测。固定模型主成分数为3,模型对预测集的输出结果与理论值相关系数大于0.998;亚硒酸盐的检出限为 0.345ng?mL-1 ,定量限为 1.150ngmL-1 ,硒代半胱氨酸的检出限为 0.806ngmL-1 ,定量限为 2.688ng?mL-1 精密度实验中相对标准偏差低于 5% ,加标回收率在 90.6%~ 113.6% ;对实际样品的检测结果显示,本法与常规的液相色谱-原子荧光光谱法检测结果相对偏差小于 4% 。研究证明,本法可用于矿泉水中亚硒酸盐和硒代半胱氨酸的检测。
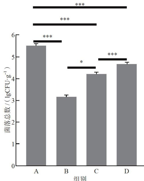
摘要:直接入口果蔬由于无后续加热处理,微生物和农药残留污染引起疾病的风险较高。本文对比分析了清水、果蔬清洗机和果蔬清洗剂清洗对生菜杀菌效果及农药残留去除效果的影响。结果表明,果蔬清洗剂和果蔬清洗机清洗后菌落总数、大肠菌群和农药残留结果均合格,其中果蔬清洗剂效果最好;清水清洗组菌落总数和大肠菌群结果合格,农药残留结果不合格。本研究结果可为生活中直接入口果蔬清洗杀菌方式的选择提供参考依据。
摘要:为解决生活饮用水中痕量有机酸检测中分离效率低、选择性差的问题,本文建立离子色谱-电化学联用分析方法。采用高容量阴离子交换柱AS29与纳米金/石墨烯复合材料修饰电极构建检测系统,优化动态pH值梯度洗脱程序和脉冲安培检测模式,采用集成在线固相萃取前处理技术消除基质干扰。结果表明,7种目标有机酸在 15min 内实现完全分离,其中马来酸检出限为 0.05μg?L-1 ,在 200mg?L-1 氯离子干扰下测定偏差在 8% 以内。将该方法应用于直饮水系统监测,发现末梢水样中马来酸含量较出厂水高,可有效反映消毒副产物积累趋势。
摘要:为高效、准确地检测酱油中三氯蔗糖,本文对《食品安全国家标准 食品中三氯蔗糖(蔗糖素)的测定》(GB5009.298—2023)方法中的前处理步骤进行优化。优化后的前处理流程为样品用体积分数 75% 的甲醇水溶液提取,在沸水浴上蒸发至 5mL 后过GCB小柱完成净化,再次蒸发近干后用超纯水复溶上机测定。结果表明,本文方法测定三氯蔗糖回收率在 95% 以上,相对标准偏差小于 2.47% ,在 10~300μg?mL-1 质量浓度范围内线性关系良好,相关系数为0.9993;检测结果与GB 5009.298—2023基本一致(相对偏差在 1% ),符合检测要求。
摘要:为评估敦煌李广杏干的食用安全性,本研究采用液相色谱-质谱联用和气相色谱-质谱联用检测10份样品中2种农药残留(吡虫啉、氯氟氰菊酯),通过原子吸收光谱法测定重金属砷含量,采用酸碱滴定法检测二氧化硫残留。在此基础上,采用单因子污染指数法进行安全性评价。结果显示,敦煌李广杏干中吡虫啉检出率为 40% ,平均残留量为 0.046mg?kg-1 ;氯氟氰菊酯检出率为 40% ,平均残留量为 0.067mg?kg-1 二氧化硫检出率为 80% ,平均含量为 0.024g?kg-1 ;重金属砷检出率为 10% ,含量为 0.043mg.kg-1 。安全评价显示所有样品均处于“清洁”水平,完全符合国家食品安全标准要求,敦煌李广杏干食用安全性良好。
摘要:目的:比较不同前处理方法对乳饮料质控样品中苯甲酸、山梨酸检测结果的影响,优化检测方法,为乳饮料中食品添加剂的检测及安全质量监管提供技术支持。方法:采用不同前处理方法进行样品处理,以体积分数为 5% 的甲醇和体积分数为 95% 的乙酸铵水溶液( 0.02mol?L-1 )作为流动相,高效液相色谱法检测质控样品中苯甲酸、山梨酸含量,并进行加标回收及精密度验证。结果:方法1处理的苯甲酸和山梨酸含量均略低于质控值,方法2略高于质控值,且方法1和方法2处理的质控样品中目标物质含量均处于可接受范围内;方法3处理的质控样品的苯甲酸含量均低于质控值,且不在可接受范围内。结论:方法1和方法2均可用于乳饮料中苯甲酸、山梨酸含量的检测,且方法2是基于方法1的简化方法,可节约检测时间,操作简便。
摘要:目的:了解顺庆区城乡生活饮用水消毒效果状况,为消毒处理提供科学依据。方法:于每年3月(枯水期)和9月(丰水期)采集城区二次供水水样,农村地区采集所有水厂和乡镇(含所辖村)水样,检测消毒剂含量和菌落总数。结果:2022—2024年顺庆区生活饮用水消毒剂合格率为 94.09% ,菌落总数合格率为 96.77% 。不同年份间菌落总数检出率( χ2=6.913 , p<0.05 )呈上升趋势,城区消毒剂合格率高于农村( x2=5.567 , p<0.05 ),枯水期菌落总数合格率高于丰水期( x2=6.200 , p<0.05 ),丰水期菌落总数检出率高于枯水期 ( χ2=36.509 ! p<0.05 )。结论:顺庆区生活饮用水消毒效果总体良好,但需要加强对供水管网的检修,重点关注农村地区以及丰水期的消毒效果,加强消毒工艺指导和培训。
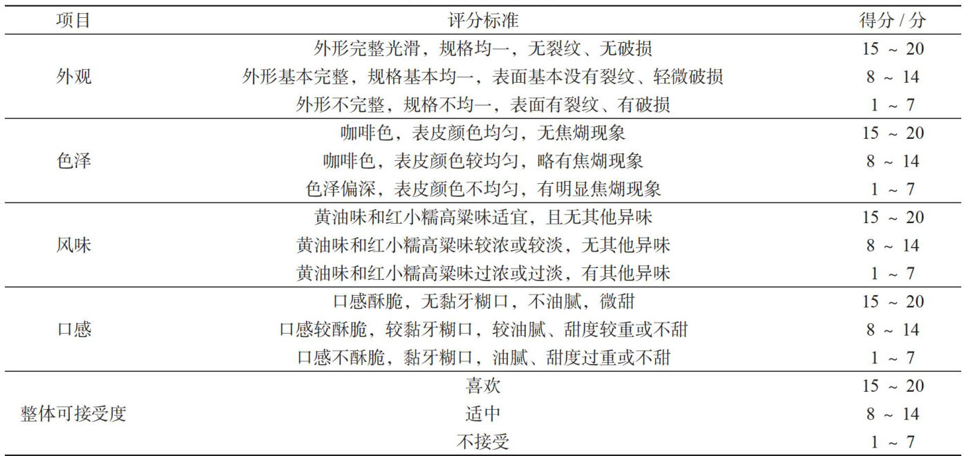
摘要:以红小糯高粱粉为主要原料,制备红小糯高梁特色饼干。在单因素试验的基础上,以红小糯高梁饼干的感官评分为响应值,通过响应面法优化红小糯高梁饼干的工艺。结果表明,最佳工艺为黄油添加量45.0% 、鸡蛋添加量 8.9% 、糖添加量 15.3% 。以此工艺条件生产的饼干感官评分为87.1分。
摘要:本研究以枇杷花和全脂乳粉为原料,采用响应面法优化枇杷花凝固型酸奶的制备参数,并结合感官评价分析,探讨关键工艺因素对酸奶品质的影响。结果表明,最优工艺条件为枇杷花添加量 1.4% 、发酵剂接种量 3.5% 、发酵温度 42°C 、发酵时间 8.1h? 。在此条件下,酸奶的感官评分为8.2分,质构硬度为285g ,黏度为 320Pa?s ,酸度为 78°T ,活菌数量为 1.1×108CFU?mL-1 ,总黄酮含量为 13.2mg.g-1 ,DPPH·清除率 IC50 为 0.21mg?mL-1 。
摘要:本文总结和归纳近年来国内外研究学者对1-甲基环丙烯(1-Methylcyclopropene,1-MCP)的应用情况,主要针对1-MCP处理对果蔬的呼吸作用、乙烯释放、后熟软化、风味物质等方面的影响进行概述。总结发现,1-MCP对果蔬的硬度、色泽、糖度等具有良好的保持效果,并对呼吸造成的物质损失和乙烯造成的过熟衰老有抑制作用,同时对减轻果蔬的采后生理病害方面具有一定的积极作用。本研究对于促进果蔬产业健康发展具有重要的指导意义。
摘要:区块链技术为电商食品追溯体系建设提供了创新性解决方案,通过分布式账本和智能合约确保数据不可篡改,可显著提升食品安全信息的透明度和可信度。然而,当前区块链技术应用仍面临技术适配不足、标准规范缺失和监管机制滞后等挑战,具体表现为数据存储安全隐患、信息共享障碍及视频溯源漏洞。针对这些问题,本文提出四维优化路径:构建“主链 + 侧链”混合架构,以平衡安全与效率;完善统一的数据采集与接口标准,促进跨平台互通;建立“链上 + 链下”协同监管机制,强化视频溯源真实性验证;推动多方协作,构建国际化追溯生态。区块链技术的深度应用需兼顾技术创新与标准监管,通过跨主体协作实现全链条可信溯源。这一体系的完善将为电商时代的食品安全治理提供系统性支持,助力行业可持续发展。
摘要:本文从人员、设备、环境及方法4个方面分析影响食品检验检测结果准确性的因素,并提出强化人员培训与能力建设、优化设备采购与完善维护管理体系、严格实验室环境参数控制以及依据实际需求精准选择检测方法等相应策略,旨在为优化食品检测流程、提升监管效能提供理论参考。
摘要:本文在阐述农药残留检测重要性的基础上,深入剖析了影响检测结果准确性的关键因素,涵盖从样品采集到数据分析的全过程,并针对性地提出了一系列控制策略,旨在为提升农药残留检测的准确性提供参考,保障食品安全。
摘要:在农业现代化进程加速的背景下,基层农产品农药残留检测能力建设成为保障农产品质量安全的关键环节。本文深入分析基层农产品农药残留检测工作体系,识别出检测技术能力不足、专业人员匮乏等关键问题,并提出技术升级、人才建设等系统性改进策略,旨在为提升基层检测能力提供理论支撑和实践指导。
摘要:农产品农药残留检测对食品安全至关重要。本文分析检测中技术适配性不足、样品采集不规范、环境控制不力等问题,结合农产品特性,提出优化检测技术、规范样品采集与保存流程、优化检测环境控制与管理等全流程控制策略,为提升检测科学性、完善质量安全监管体系提供参考。
摘要:本文从结构优化设计、功能集成设计、视觉传达设计和回收适配设计4个维度,分析环保材料在食品包装设计中的具体应用,同时提出相应的应用策略,助力食品包装设计实现生态效益与经济效益的协同提升。
摘要:“一老一小”服务体系建设是当前我国民生领域的重点任务,其中食品保障和营养健康服务是核心环节。本文通过对烟台市“一老一小”健康食品保障体系的实地调研,分析其建设现状,探讨建设中存在的问题,在此基础上提出以“数据驱动决策、智能匹配服务、全程可控可”为核心的“一老一小”食品保障体系的构建策略,旨在形成“精准化供给、动态化监管、社会化协同”的健康食品保障体系。
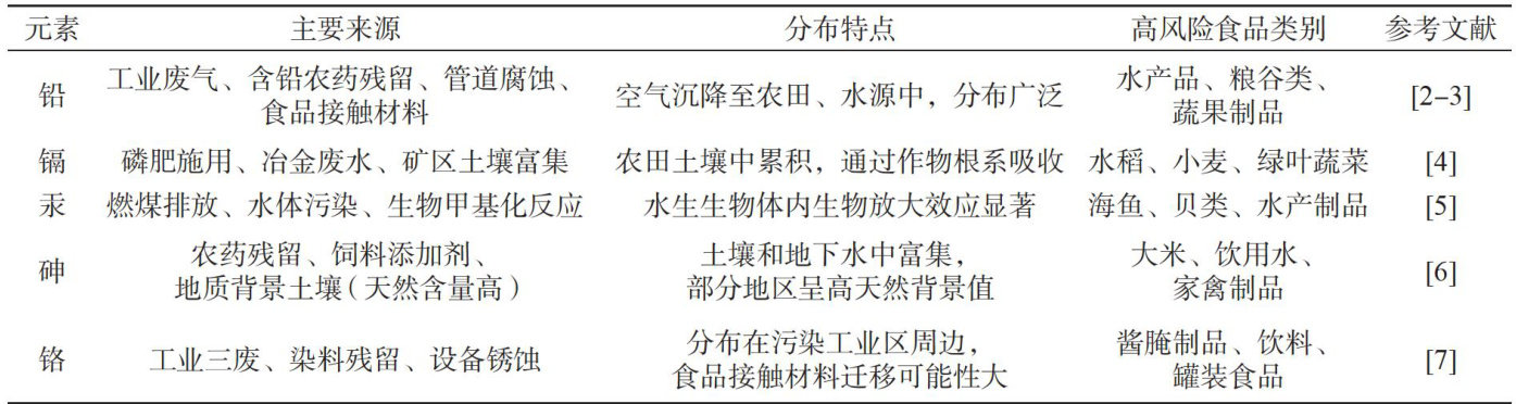
摘要:食品中重金属元素主要经环境污染或食品加工设备等途径进入食品体系,长期摄入可能引发神经毒性、生殖毒性等一系列健康风险。本文系统分析食品中典型重金属元素的来源分布与健康危害机制,重点概述光谱分析法、电化学分析法、生物传感技术及纳米材料辅助技术在重金属快速检测中的应用现状及关键技术要点,旨在为食品检测实验室制订高效且精准的重金属检测方案提供技术支持与理论依据。
摘要:羊肚菌多糖是羊肚菌主要的活性物质之一,具有抗氧化、降血糖血脂和免疫调节等多种生物活性,因此在食药领域受到广泛关注。多糖复杂多变的结构特征是其生物活性的基础,因此深入研究羊肚菌多糖的分子结构、利用分子修饰技术改良其生物活性,对挖掘其实际应用潜力意义重大。本文重点综述羊肚菌多糖的主要生物活性及其作用机制,并探讨几种常见结构修饰方法对其活性影响的研究进展,旨在为羊肚菌多糖的进一步开发与利用提供参考。
摘要:为构建高效、精准的分子生物学检测技术体系,本文系统分析了核酸扩增、基因测序、分子标记、生物芯片等核心技术的集成构建机制,深入探讨了不同食品基质环境下的适应性策略选择与产业链全程监控的技术部署模式,重点研究了人工智能算法融合、便携式设备开发、区块链数据溯源等前沿技术发展路径。
摘要:预制菜品质与消费者健康息息相关,消费者高度关注预制菜的营养成分和添加剂使用情况,但目前相关研究较少。本文通过2025年“金牌年菜”评选活动,收集和筛选123种标准和营养标签齐全的预包装菜肴类预制菜商品,分析其标准执行情况、添加剂使用种类以及营养标签中能量、脂肪、钠等营养素的含量。结果显示,123种预制菜执行最多的标准是《速冻调制食品》(SB/T10379—2012),占比达 43.9% ;123种预制菜的能量、脂肪和钠含量均值分别为 849.8kJ/100g 、 13.0g/l00g 和 763mg/l00g ;123种预制菜中有74种使用了添加剂,使用较多的添加剂是复合磷酸盐和增味剂等。参照《食品安全国家标准预包装食品营养标签通则》(GB28050—2025)修订的营养素参考值计算,每日食用 988,462,262g 预制菜分别达到每日能量、脂肪和钠摄入参考值。总体而言,预制菜脂肪和钠含量偏高,应通过改进原料配伍和加工工艺等方式,对标家庭厨房菜肴减少油盐和添加剂使用量。
摘要:食品包装安全是保障食品安全与消费者健康的重要环节,物理检测技术为其提供了关键支撑。本文围绕金属、塑料、纸质等主流食品包装类型,系统分析物理检测技术在密封性、耐压性、阻隔性、强度性能等检测中的应用,明确各类包装的核心安全指标及检测方法,探讨检测结果与食品保质期、污染风险的关联,揭示物理性能缺陷对食品安全的潜在危害,为提升食品包装安全管控水平提供技术参考。
摘要:乙酸乙酯作为浓香型白酒的重要风味成分,其含量的精准控制直接影响产品品质和市场竞争力。本文系统探讨了大曲制备、发酵工艺等关键酿造环节对乙酸乙酯含量的影响机制,并针对各类影响因素,提出了精确控制制曲工艺参数、标准化管理糟醅配料等系统性控制对策,为浓香型白酒生产企业实现产品质量稳定提升提供了科学依据和技术指导。
摘要:本文分析了食品中农药残留检测过程中可能产生误差的主要来源,包括样品采集、前处理、仪器设备、检测方法及人员操作等环节,并针对性地提出了科学化、规范化的控制措施,如合理采样、规范样品前处理、加强仪器设备管理、合理选用检测方法及加强人员培训等,以期为提升农药残留检测结果的精确度提供理论依据和实践参考,助力完善食品安全监管体系。