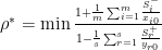
摘要:随着中欧贸易的持续稳定发展,中欧班列集装箱货运业务迅速发展。提升货运服务质量是中欧班列集装箱货运业务高质量发展的关键因素,因此,文章展开中欧班列集装箱货运服务质量的影响因素及提升策略研究。首先构建包含时效性、经济性、有形性、可靠性、响应性、保证性、信息性和政策性8个影响因素的中欧班列集装箱货运服务质量的影响因素体系;其次,进一步构建影响因素结构方程模型,并通过调查问卷获取数据,使用SPSS和AMOS软件分析各影响因素间的内在关系;最后,提出中欧班列集装箱货运服务质量提升策略。研究结果表明,结构方程模型构建合理,其中政策性、时效性、响应性是影响中欧班列集装箱货运服务质量的关键性因素。文章为提升中欧班列集装箱货运服务质量、高质量快速发展提供建议。
摘要:基于国家物流枢纽建设的战略背景,文章以衡阳陆港型国家物流枢纽为实证对象,采用案例实证与政策文本分析法,系统探究内陆城市物流枢纽的发展路径。分析衡阳市现代物流体系的发展基础,其规模效益持续向好、运输网络日趋完善、枢纽建设成果显著、服务效能稳步提升且政策与人才支撑持续优化,但仍存在物流运行成本较高、产业集聚效应不足、产业融合深度不够、转型速度较慢及管理服务水平待提升等问题。据此,从降低物流成本、完善智慧物流体系、推动绿色物流发展、培育产业融合新业态、筑牢应急物流网络、构建人才培育体系6个角度提出对策。为实现湖南省“三高四新”蓝图、推进全国统一大市场建设及双循环新发展格局提供理论参考。
摘要:在全球化背景下,华东地区已然成为推动我国区域经济发展的关键增长极之一,其物流效率的高低也同样对这一地区经济发展起着不可忽视的作用。文章以华东地区7个省级单位为研究对象,基于华东地区2012—2022年的面板数据,采用SBM模型,测算华东地区各省(市)的物流静态效率值,并利用GML指数模型分析物流动态效率。研究表明,华东地区物流效率受环境成本约束显著,技术进步与规模效率协同不足,物流效率增长呈现阶段性波动。针对这些问题,文章提出了构建区域物流技术共享平台、完善低碳物流发展政策体系、优化物流网络布局与结构、加强区域合作与协同发展等对策建议,以提升华东地区物流效率,推动低碳物流发展,实现物流业高质量发展。
摘要:为探究福建省物流效率及其影响因素,首先从投入产出的角度构建指标体系,运用DEA中的SBM模型对物流效率进行静态测度,并结合熵权-TOPSIS方法对DEA有效的决策单元进行综合排序,然后使用Malmquist指数评估物流效率的动态变化趋势,最后通过Tobit回归模型分析影响物流效率的因素。研究发现,福建省的物流效率总体上表现良好,但部分地区仍存因一些因素限制了物流业发展,其中经济发展水平、政府支持力度与对外开放水平对福建省物流效率的影响尤为显著。基于上述研究结论,文章聚焦福建省物流效率的现状与影响因素,提出具有针对性的优化建议,以期助力福建省物流业的高质量发展。
摘要:随着新质生产力概念的提出,各行各业向新质提效的方向不断提升,而其中物流业作为我国经济的重要组成部分,其发展水平对于其他行业具有重要支撑作用。苏锡常是国内新质制造业的代表地区,其物流效率的研究可为我国其他地区提供借鉴。鉴于此,文章以苏锡常物流业为研究对象,建立区域物流业投入产出指标体系,运用超效率SBM模型测算2019—2023年苏锡常各地区的物流业综合效率及其效率分解。研究结果显示:常州物流效率尤为稳定,其技术效率、纯技术效率以及规模效率的变化幅度均非常有限,整体表现接近DEA有效状态。这表明常州在资源利用和运营效率方面,达到了区域内的领先水平。苏州市纯技术效率较稳定,但综合技术效率和规模效率波动大,2020—2021年效率值低,存在瓶颈。无锡市综合技术效率和纯技术效率先降后升,2023年实现DEA有效,资源配置趋于合理。最后,根据苏锡常各地区的发展现状以及物流效率的测算结果,提出物流效率提升建议。
摘要:近年来,全球突发事件频发,严重危害人民生命安全和国家经济发展,应急物资分配成为应急救援的关键环节。文章梳理了国内外应急物资分配模型的研究现状,揭示出现有研究围绕时效最大化、成本最小化等单目标优化模型,以及成本一时间平衡、心理感知-公平性协同等多目标优化模型两大方向发展。国外研究起步较早,逐步纳入心理感知、痛苦成本等新维度,国内研究虽起步较晚,但在损失函数构建、分层优化及攀比心理量化等方面取得显著进展。但现有研究很少在灾难初期物资短缺的情况下充分考虑到灾民的情绪与其公平感。未来研究应关注到在灾情初期物资稀缺阶段如何提升灾民满意度以及保障公平性的问题。
摘要:文章基于AIDMA模型,深入探讨直播带货营销模式对消费者行为的影响机制。通过分析直播带货在引起消费者注意、激发兴趣、刺激欲望、强化记忆和促成购买行动等各个阶段的特点与作用,揭示了直播带货如何改变消费者的传统购物决策过程。研究发现,直播带货凭借其独特的优势,在每个阶段都对消费者行为产生了显著的影响,但同时也面临着一些挑战。针对这些情况,文章提出了直播带货行业健康发展的相关建议,以期为直播带货商家、平台以及相关研究提供有益的参考。
摘要:研究聚焦B2B2C商业模式下企业采购EAP服务的决策机制与营销策略这一新兴研究领域。基于决策理论与服务营销理论,构建了“需求-决策-营销”整合分析框架,系统考察了EAP服务采购的全过程。研究发现:企业采购决策呈现多维度特征,经济与非经济因素共同影响采购行为,且决策过程中存在显著的信息不对称问题;在营销策略方面,EAP服务提供商需实施精准市场细分、定制化价值传递以及多渠道整合传播的三维策略体系。
摘要:“建圈强链”是构建现代化产业体系,推动区域经济高质量发展的着力抓手。文章基于眉山市2014—2023年数据,从抵抗能力、恢复能力、新质化能力及政企协同能力四方面,构建制造业产业链韧性测度指标体系,并运用熵值法对其韧性水平开展定量测度。结果表明:2014—2023年眉山市制造业产业链韧性综合得分整体呈现上升趋势,但2017年和2023年出现了回调;分维度看,四大能力维度得分整体呈波动上升趋势,且均在2020年后呈现显著跃升,其中新质化能力得分最高,成为驱动产业链韧性增强的核心动力。
摘要:在全球气候变迁的背景下,降低温室气体排放量已经上升为世界各国的共同义务。文章以2010—2022年沪深A股上市公司为初始研究样本,采用双重差分模型进行分析,探讨了碳排放权交易试点政策对企业碳排放强度的影响。研究发现碳排放权交易政策的实施有助于降低企业的碳排放强度;碳排放权交易政策通过缓解企业融资约束、提升企业内部控制降低企业碳排放强度;非国有企业以及被出具无保留意见的企业受碳排放权交易政策的减排影响更为显著。文章为全球碳交易市场提供了微观层面的证据,也为优化碳市场设计和加强企业低碳转型的激励机制提供了一定政策建议。
摘要:随着互联网技术的飞速发展,人工智能时代已经来临,电商平台已经成为人们生活中不可或缺的一部分。它在为人们带来便捷购物体验的同时,也产生了关于买卖双方的大量纠纷。随着在线纠纷解决机制在电商平台的成功实践,其在纠纷解决和诉讼分流中的重要性日益凸显。电商平台的纠纷解决机制是数字化创新的重要部分,数字时代的到来重新定义了电商平台的信任机制,推动了司法体系和社会数字化转型。
摘要:在数字化浪潮与媒介融合冲击下,传统广电行业面临用户流失、广告收入萎缩等转型困境,用户行为碎片化与需求多元化凸显了传统运营模式在精准服务上的短板。大数据技术为行业破局提供支撑,构建用户画像、实现精准营销成为重构竞争力的关键。文章遵循“问题分析—框架设计—策略提出”的思路,首先,剖析广电行业精准营销实践中存在的数据割裂、画像静态化、资源配置同质化等问题,其次,提出融合业务特性的多维度用户画像建模方法及闭环精准营销策略体系,包括动态适配的五维画像架构、全周期业务闭环、精细化数据治理路径等,并设计了分群差异化策略及支撑体系。研究发现,多源数据的用户画像可有效支撑精准营销,分群靶向干预可优化资源配置、提升用户价值;研究在理论层面拓展了数字营销理论的适用边界,实践层面为广电企业提供了精准营销解决方案。
摘要:文章聚焦交互式人工智能在电商营销领域(尤其AI购物助手)的应用与影响,对拟人化、互动性和对比研究3个成熟的领域梳理文献得出:第一,拟人化设计能提升用户感知的社交临场感、信任度与购买意愿,主流研究认为其效应积极,但部分研究也提示了“恐怖谷效应”与服务失败带来的潜在风险。第二,互动性是交互式人工智能的核心优势,特别是对话式信息交互(如聊天机器人)能显著增强用户参与度、体验感和决策效率,变革传统人机互动模式。第三,学界存在成熟的对比研究,相较搜索引擎的信息罗列,交互式人工智能在提供个性化、情境化服务方面潜力显著;虽与人类推荐者的情感连接有差异,但其高效性与可扩展性是重要优势。基于当前研究在交互式AI与搜索引擎在不同场景适用性、长期用户行为影响及技术差异效应等维度的深入比较尚显不足,未来研究需在这方面进行重点探索。
摘要:文章主要探讨唐山市临港产业与新能源汽车产业协同发展的机制,对产业协同的内在需求、发展契机以及存在问题开展系统分析,根据唐山临港产业规模特征与新能源汽车产业发展现状做出调研分析,揭示了产业协同发展对于提升临港产业竞争力的关键价值,研究还分析出当前协同发展面临的主要制约因素,如基础设施建设滞后、政策协同不足以及核心技术瓶颈等,并提出对策建议。通过对本地区典型案例的深入分析,验证了产业协同模式的实际效益,为唐山以及同类地区的产业协同发展提供了理论参考和实践指导。
摘要:在“双碳”目标驱动下,邯郸市新能源行业规模扩张与创新能力滞后的结构性矛盾日益突出,其深层制约在于融资错配、数据割裂与生态协同不足三重瓶颈。作为一种崭新的金融业态,数字普惠金融依托大数据、人工智能、区块链等技术,可有效破解邯郸市新能源行业创新能力提升过程中面临的瓶颈。据此,文章系统构建数字普惠金融赋能的3条核心路径:融资便利化、数据智能化与生态协同化,旨在助推邯郸市新能源行业探索数字化发展路径,实现创新、可持续发展与高质量发展。
摘要:在“双碳”目标的推动下,新能源汽车行业经历巨大的变化,逐步取代传统燃油汽车。与此同时,数字化经济的快速发展也对各行业提出了更高的要求,新能源汽车企业若想在激烈的竞争中站稳脚跟,就必须持续推进研发创新,借助数字技术实现数智化转型。在此背景下,探寻新能源汽车企业切实可行的数智化转型道路显得极其重要。文章聚焦新能源汽车企业数智化转型过程中面临的挑战,从技术创新、人才培养、数据安全等多个维度,提出切实可行的数智化转型战略,期望助力企业提高核心竞争力,实现可持续发展。
摘要:数字时代背景下,商业模式创新日益成为企业应对挑战并赢得竞争优势的关键措施。文章界定了数字时代商业模式创新的内涵,系统梳理了国内关于企业商业模式创新影响因素的研究,旨在揭示其作用机制。研究发现,企业商业模式创新受到内部因素、外部因素与数字生态协同因素的共同影响,内部因素包括企业内部能力结构与高管团队特征,外部因素包括政府支持与社会网络,数字生态协同因素包括用户参与以及数字生态平台。
摘要:基于新能源汽车动力蓄电池回收服务网点信息的数据,运用最近邻指数、标准差椭圆、核密度估计、ESDA等空间分析方法,多尺度探究其空间分布特征,并借助地理探测器解析其形成机制。结果表明:第一,在全国尺度上,回收网点整体呈“西南—东北”向分布格局,三类回收主体企业均表现出显著的空间集聚特征。第二,在地带尺度上,回收网点分布与社会经济发展水平的空间格局大体一致,东中西呈现“梯度化”的分布特征,长三角、珠三角、京津冀及其周边地区呈现集聚性。第三,在省域尺度上,回收网点的全局空间自相关性显著,冷热点地区具有明显的空间分异。第四,在市域尺度上,回收网点热点区显著集中于北上广深核心城市群。地理探测器分析揭示,区域经济实力、新能源汽车保有量及绿色技术创新水平是驱动回收网点空间分布的关键因素。
摘要:“公转铁”政策综合效益评价是通过系统评估该政策实施后的多方面效益,来确定其整体效益水平。为全面把握公转铁的发展现状,为决策提供科学依据,并促进物流运输业的可持续发展,文章运用文献资料法和归纳总结法,梳理了政府发布的主要相关公转铁政策,在此基础上,构建了涵盖经济效益和环境效益两个核心维度具体包含12项相关指标的综合效益评价体系,并对现有的综合效益评价方法进行了系统性评述,从而为后续深入研究提供理论参考和实践指导。
摘要:绿色金融发展在应对全球气候变化和推动可持续发展中扮演着重要的角色。文章基于2010—2021年我国30个省份的面板数据,构建交通运输业低碳转型指数,并运用基于CRITIC法和灰色关联法的组合赋权模型,评估了各省份绿色金融的发展水平。利用空间计量模型,分析了绿色金融对交通运输业低碳转型的空间溢出效应。结果表明,我国绿色金融发展与交通运输业低碳转型都呈现出显著的正向空间相关性,且这种相关性在地理关联空间下表现的更强。具体而言,绿色金融发展不仅能够有效推动本地区交通运输业的低碳转型,还对邻近地区的低碳交通发展产生正向的空间溢出效应,促进区域协同发展。这一发现凸显了绿色金融在实现交通领域碳减排目标的重要作用,也为相关政策的制定提供了参考。
摘要:党的二十届三中全会通过的《中共中央关于进一步全面深化改革、推进中国式现代化的决定》提出,要“发展通用航空和低空经济”。作为新质生产力的代表,低空经济在县域城市发展中具有不可忽视的作用及地位。面对新形势新要求,文章对目前仪征市低空经济产业的专利情况进行分析,探究促进仪征市发展低空经济、开辟新质生产力的路径。研究发现,仪征市低空经济产业发展在政策扶持力度、技术创新水平、产业链关键环节、创新发展生态、专利转化运营机制等方面存在不足,并提出了针对性的建议。
摘要:文章针对自然灾害发生后的应急物资配送问题,并考虑各受灾点的重要程度,以最大化所有受灾点的满意度为优化目标,构建了混合整数规划模型。为求解该模型,文章在遗传算法的基础上融合加权空间聚类、2-opt局部搜索以及无人机任务调度规划方法,形成一种混合遗传算法,在保证解的质量的同时提高了求解速度。文章通过数值实验验证了所提模型及算法的有效性,另外还通过敏感性分析实验提出了一些无人机参数对于实验结果的影响结论。
摘要:为应对山体景区货物运输的高风险性,科学评估运输风险,提出了一种基于云模型的多式联运综合风险评估方法。该方法从“人员、设施设备、管理、环境”4个维度构建风险评估体系,采用G1法与熵权法确定组合权重,搭建云模型评估框架,并使用Matlab 生成运输风险云图。以泰山景区为实证案例,对车辆、挑山工、货运缆车、无人机4种运输方式进行评估。研究结果显示:车辆与挑山工运输的风险等级为“较高风险”,货运缆车为“中等风险”,而无人机运输则达到“高风险”级别。这表明在货物运输过程中,应根据实际需求选择合适的运输方式。该方法的科学性和有效性已得到验证,为山体景区运输安全风险评估提供了重要的方法支撑。
摘要:在中国,大部分物流公司调度车辆运输医疗器械的水平不高,存在着路径重复或是装配重量不合理的问题,上述问题导致车辆总路程变长,引发严重的资源浪费和环境污染。文章提出一种遗传算法用于解决上述问题。首先将问题抽象并建立数学模型,结合现实情况和车辆路径规划问题,针对医疗器械运输场景提出特定约束与路径优化策略,然后根据约束条件重点进行可行解设计、选择策略、交叉策略和变异策略,并展开详细的说明。最后通过C语言生成了两个小规模算例来验证算法的各方面性能。实验结果表明,该遗传算法在解决小规模算例时收敛速度快,解的质量高,稳定性较强,可以在满足各医院不同需求的条件下,使车辆行驶路径最短。
摘要:在“双碳”目标和绿色发展背景下,作为国家重点扶持的高技术产业的新能源汽车整车行业发展成为社会关注的重点。文章选取商用卡车整车行业及光伏设备行业作为对照,通过横向对比分析发现,新能源汽车整车行业财务杠杆系数较高且波动较大,杠杆效应由正转负,盈利能力下滑,偿债能力较弱。进一步分析表明,其高杠杆问题主要源于负债结构不合理、过度依赖政府补贴以及资金管控不足。为此,文章提出新能源汽车行业在负债结构优化、融资渠道多样化、有效利用政府补贴、资金管控等方面建议,以此为其他行业管控高杠杆问题提供参考。
摘要:行业竞争加剧和优化流量结构等原因促使了JD采取并购行为,但是在并购过程中也存在业务模式融合困难、市场重叠、客户流失风险、资金投入与盈利压力等问题,JD通过采取杠杆并购策略和资本整合策略顺利完成并购。并且根据财务协同效应分析并购至今的盈利能力、偿债能力、营运能力财务指标,以及非财务协同效应方面分析物流网络与供应链协同、业务互补与市场份额提升、技术与数字化赋能等非财务指标,两方面指标均说明这一并购案例是成功的。这是中国物流行业整合的典型案例,同时也为研究企业并购动因、并购策略及协同效应提供了实践素材,对同类企业的战略决策具有参考意义。
摘要:碳关税作为一种新兴的绿色贸易壁垒,其实施将给中国制造业出口企业带来新的挑战。文章分析了欧盟碳关税的最新发展情况,深入探讨我国制造业在碳关税背景下面临的主要难题,结合我国制造业低碳转型的总体战略目标,提出了差异化的低碳转型路径。这些路径包括加强源头减排与市场结构调整、完善全流程碳足迹管理以及促进产业集群协同创新。最后,强调了主动掌握规则话语权的重要性,旨在帮助中国制造业在应对碳关税压力的同时,实现可持续高质量发展,并提升其在全球绿色经济竞争中的优势。
摘要:外商直接投资(FDI)在一定程度上影响城乡收入差距。基于2000—2023年我国长江经济带11省(市)级面板数据,实证检验FDI对城乡收入差距的影响。研究表明,FDI可以改善城乡收入差距,且经过一系列稳健性检验后结论仍然成立;机制分析发现,FDI通过促进金融发展缩小城乡收入差距;FDI对城乡收入差距的影响表现出长江经济带中下游地区大于上游地区的区域异质性。因此,在实践中应加大外资吸引力度,推动城乡协同增效,促进金融发展,实施差异化政策,进而缩小城乡收入差距。
摘要:文章以2012—2022年重污染行业上市公司为样本,考察企业战略、内部治理和外部监督3个维度特征对重污染企业绩效的预测能力,采用机器学习模型与传统回归模型对比分析。研究表明,随机森林和渐进梯度回归树模型的预测效果优于多元线性回归、LASSO回归和单一机器学习模型。通过特征重要性和偏依赖分析揭示关键变量与企业绩效预测的关系,得出研报关注度、分析师关注度、研发投入比、前十大股东持股比例这些关键变量对企业绩效呈正向关系。
摘要:文章以西部陆海新通道建设为战略背景,聚焦重庆重点产业与人才供给的协同适配问题展开研究。基于系统协同理论,构建包含8个二级指标、22个三级指标的“通道-产业-人才”三元综合评价指标体系,采用熵值法确定指标权重,结合耦合协调度模型,实证测度三者的动态耦合协调特征。研究发现:三大子系统综合发展指数均呈显著上升趋势,通道子系统增速领先,产业子系统次之,人才子系统增速相对滞后,反映人才供给对通道建设与产业升级的响应存在时滞;耦合协调水平实现阶段性跨越,但整体仍处于初级协调区间,存在提升空间。实证结论可为西部陆海新通道沿线城市优化要素配置提供数据支撑,据此提出的提升通道能级、优化产业布局、完善人才供给、创新协同机制等四维建议,为区域产业与人才协同发展提供了可借鉴的实践路径。
摘要:随着数字经济的发展,数据作为新型生产要素在企业价值创造中的作用日益凸显。传统评估方法在衡量数据资产价值方面存在一定局限,亟需构建更为科学的评估体系。文章以自营电商平台J企业为例,基于FCFF法与BS模型,构建“现有价值 + 潜在价值”的双路径评估框架,结合AHP与熵权法提出数字强度指数(DII),量化数据资源的规模、活跃度与变现能力。研究表明,截至2024年年末,J企业数据资产价值约为328.43亿元,验证了所建模型的可行性,可为平台型企业数据资产评估提供参考。
摘要:在全球供应链面临ESG转型压力与国际合规要求趋严的背景下,ESG框架通过环境、社会和公司治理3个维度与供应链韧性形成显著关联。环境维度中绿色生产技术、环保物流策略可降低资源依赖与供应风险;社会维度的劳工权益保障、社区责任履行能提升员工忠诚度与供应链协同性;公司治理维度的风险管理机制与透明信息披露则增强了供应链的抗风险能力。进一步构建了风险识别与预警、资源调配与协同、能力提升与创新的形成机制,以及基于环境可持续性、社会责任和公司治理的提升机制。文章为企业将 ESG理念融入供应链管理、提升供应链韧性提供了理论参考与实践路径。
摘要:文章构建由公司、农户、政府组成的订单农业供应链博弈模型,基于Stackelberg 博弈方法,运用逆序递推优化求解法获得了无政府补贴、政府种植补贴和政府产量补贴三种补贴模式下的供应链最优均衡解。通过对比分析,得到不同补贴模式下农户生产决策、公司助农行为和政府补贴的变化情况。研究发现:公司助农要适可而止。助农边际成本过高时,反而会对供应链上各主体尤其是消费者产生不利影响。不同的补贴模式产生的效果不同。种植补贴对农户利润的影响显著,产量补贴则对公司和消费者产生显著积极影响。政府要根据不同目标选择不同的补贴模式。若目标是提升整体社会福利,产量补贴更有效;若目标是稳定农户生产,种植补贴更合适。
摘要:文章围绕我国纺织品供应链绩效评价展开,致力于建立一套科学全面的评价体系。基于纺织品供应链“供应、生产、物流、消费及信息化”的全链条运作特点,通过分析行业特性初步选取31项评价指标,经相关性分析与变异系数筛选后,最终保留23项核心指标,形成包含5个准则层的三级指标体系。采用熵权法计算指标权重后发现,供应环节、消费环节及信息化水平对供应链绩效的影响最为突出。研究证实,该评价体系可有效量化纺织品供应链各环节的运作效率,为优化供应链管理、增强产业竞争力提供了客观参考。
摘要:针对当前储能供应链存在信息不对称、管理效率低、合规风控难,且区块链技术应用面临技术、组织、政策多重障碍的问题,文章以“价值识别—困境剖析—路径设计”为思路,系统探究区块链赋能储能供应链溯源的实践逻辑。研究发现,区块链可通过不可篡改、智能合约等特性,为储能供应链提供数据可信透明、全生命周期管理优化、合规风险防控三重核心价值;但体系建设面临技术性能不足、数据标准化缺失、参与方协同弱、商业模式模糊、标准法规缺位等困境。据此提出协同解决方案:技术层采用“联盟链 + 链下存储”混合架构并优化性能与隐私保护,组织层组建溯源联盟并完善治理激励机制,政策层推动标准制定与监管沙盒试点。研究为区块链在储能供应链溯源的落地提供理论支撑与实操指引,助力储能行业高效合规发展。
摘要:在乡村振兴战略持续推进以及居民生活水平不断提升的背景下,生鲜农产品冷链物流需求呈现出多样化发展态势。文章以广东省为例,选取该地区生鲜农产品冷链物流系统作为研究对象,构建多元线性回归模型,通过实证分析识别并量化影响该区域生鲜农产品冷链物流需求的关键因素。选取2013—2023年相关数据,以冷链物流需求量为被解释变量,以人均地区生产总值、人均可支配收入、人口规模、人均消费支出为解释变量构建模型。研究显示,模型拟合度高,人均可支配收入、人口规模、人均消费支出影响显著,其中人口规模影响最大。基于此,提出强化基础设施建设、促进产业链协同、完善政策标准、注重绿色低碳发展4个方面的建议,为广东生鲜农产品冷链物流发展提供参考依据。
摘要:冷链物流是维持人民基本生活的重要保障,也是物流当中的重要环节之一。为更加全面地了解我国冷链物流行业的相关发展趋势,文章利用CiteSpace 6.3.R1软件,从中国知网选取760篇发表于核心权威期刊的论文作为数据,从冷链物流相关的年度文献发表数量、作者及机构合作关系、关键词热度等角度进行可视化分析。结果表明,冷链物流的相关研究与我国经济社会发展、科学技术进步、人民生活需要等因素有关;有关冷链物流的研究作者合作度低,以个人研究为主,仅极少数学者之间存在合作关系;发文机构的合作地域性特征明显且多为内部合作;研究热点多集中于生鲜食品、冷链运输、路径优化等。未来研究将侧重于技术手段的创新,探索新的物流优化方案和算法改进,提高智能化水平等。