摘要:采用粉末冶金法制备不同配比的石墨烯/Cu/Ti3AIC2复合陶瓷材料,通过扫描电子显微镜(SEM)X射线衍射(XRD)对试样进行微观形貌和组成相元素分析,测试其硬度和摩擦磨损性能。结果表明:当Ti、Al、TiC、Cu物质的量比为 1:1:2:0.3 时,加入 0.075% 石墨烯制备的复合陶瓷的表面硬度达到最大值 772Hv ,经摩擦磨损性能测试后发现,试样在50N载荷下损耗量为 0.0003g ,磨损机制为磨粒磨损和氧化磨损,添加石墨烯和 Cu 后 Ti3AlC2 材料耐摩擦性能有所提高。
摘要:可充电锌空气电池因其高能量密度、高可靠性和低成本而备受关注。然而,锌空气电池的发展受到空气电极催化动力学缓慢和功率密度较低的限制。为了加速氧电极(析氧反应OER和氧化还原反应ORR)催化反应并改善电荷传输,开发高效的氧电催化剂至关重要。本文通过简单的退火方法合成了氮掺杂碳纳米管负载铱纳米颗粒电催化剂。由于氮掺杂CNTs与超细Ir纳米颗粒的协同作用能促进ORR和OER, Ir/NC 催化剂在ORR中表现出优异的电催化性能,起始电位为 1.02V ,半波电位为0.875V,具有4e选择性和良好的稳定性。该材料在碱性溶液中、 10mA?cm-2 下具有 188mV 的过电位,表现出优异的析氧性能。由于 Ir/NC 催化剂优异的双功能活性,其将进一步应用在锌空气电池中。
摘要:为了改性包埋颗粒,探讨不同碳氮比在反硝化过程中对亚硝态氮积累的影响,本文以聚乙烯醇、海藻酸钠、PEG、CNF和铁粉为主要原料,对其进行了研究,利用UASB反应器进行试验,进水为人工模拟废水,碳源为 C2H3O2Na?3H2O ,氮源为 NaNO3° ,分析了在不同C/N下水中硝态氮质量浓度、亚硝态氮质量浓度以及 cosΩ 。
摘要:为进一步探究AOA工艺污染物去除的影响因素,本文以实际生活污水为处理对象,研究了不同C/N和污泥回流比下污染物去除的变化情况。结果表明:当C/N过低时,污染物的去除效果开始下降,并且在一定范围内进水COD与内源反硝化速率成正比。当污泥回流比为 100% 时,污染物去除效果最好,TN去除率可达到 79.67% 。
摘要:采用分子动力学模拟方法,构建了由正二十烷、水分子和正十二烷组成的油-水-蜡体系,模拟了不同温度下无蜡及含蜡体系的油-水界面形成过程,分析了油、水分子的扩散运动轨迹及相互作用,计算了水分子扩散系数和油分子相对浓度分布,阐明了溶解态蜡分子和聚集态蜡晶对油-水界面性质的不同影响及作用机理。结果表明:不同状态的蜡组分均会促进油分子和水分子的相互扩散,蜡组分能够吸附在油-水界面层起到稳定作用;温度会影响油水分子的相互作用、扩散能力和油-水界面层性质;溶解态蜡分子依靠较强的范德瓦耳斯力和氢键吸附更多油分子和水分子,油水分子间相互扩散的能力也较强,构成了厚度较薄但分子更加密集的油-水界面层;聚集态蜡晶限制了表面吸附油分子的扩散,主要依靠水分子向油相的扩散以及氢键作用形成较厚的油-水界面层,同时蜡晶吸附可以降低油-水界面自由能,界面体系更加稳定。
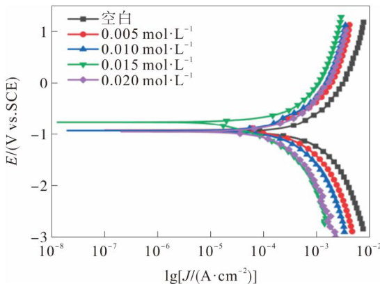
摘要:采用直接合成法,由牡丹根皮提取物丹皮酚与正丁胺反应制备了一种新型环境友好、成本低廉的席夫碱丹皮酚缩正丁胺( Pn-Ba 。研究了该席夫碱在 0.01mol?L-1 的HCL酸洗液中对AZ91D型镁合金腐蚀的抑制效果。通过动电位极化、电化学阻抗谱(EIS)以及扫描电镜(SEM)等方法对 Pn -Ba的缓蚀效果进行了研究。结果表明:Pn-Ba作为一种混合型缓蚀剂既抑制阴极反应,也抑制阳极反应,并且存在最佳缓蚀浓度( 0.015mol?L-1 )。EIS结果与动电位极化结果吻合,也确定了 0.015mol?L-1 的最佳缓蚀剂浓度。 Pn-Ba 分子通过与镁表面提供的电子作用,吸附在其表面,低浓度时 Pn-Ba 分子趋向于水平吸附,缓蚀率高,浓度过高时不再水平吸附,缓蚀率反而降低,与电化学结论相互验证了存在最佳浓度的猜想。SEM图也直观地证明了 Pn-Ba 的缓蚀效果。
摘要:基于静电纺丝技术简单、高效的优势,本文通过聚丙烯腈(PAN)电纺溶液与ZIF-8微粒的混纺合成策略,成功地在常温条件下快速制备了PAN/ZIF-8纳米纤维膜材料,并且以水溶液中的甲基橙为目标污染物,探讨了PAN/ZIF-8纳米纤维的吸附性能。结果表明:制备的PAN/ZIF-8膜材料具有典型纤维微观形貌且表面呈现粗糙的多孔形态,ZIF-8微粒分布于纤维内部及纤维表面,为有机染料的吸附提供了有效的吸附位点。对甲基橙的吸附过程在 30min 时达到了平衡,在甲基橙初始质量浓度为 10mg?L-1 时,平衡吸附量为 2.21mg-g-1 。
摘要:以自制花生壳生物炭(BC)为原料,利用浸渍法制备KOH活化生物炭(a-BC),系统考察了生物炭与活化剂的质量比、热解次数等主要制备条件及 a-BC 投加量、四环素(TC)初始质量浓度、反应体系 pH 、吸附温度等主要吸附反应条件对TC吸附性能的影响,采用扫描电子显微镜(SEM)、傅里叶变换红外光谱仪(FTIR)、X射线衍射仪(XRD)等测试手段对a-BC的表面形貌、官能团和结构进行了表征。结果表明:当生物炭与活化剂的质量比为 1:3 、经过一次热解、a-BC 投加量为 0.05g 、TC初始质量浓度为 60mg?L-1 、溶液 ΔpH 为2\~5及反应温度为 30qC 时,a-BC对TC的吸附量为 52.86mgg。与花生壳原炭BC相比,a-BC呈现颗粒大小较均匀、表面粗糙的不规则颗粒状,表面含有丰富的一OH和—COOH等含氧官能团。
摘要:采用接枝共聚法制备了一种新型絮凝剂壳聚糖-聚丙烯酰胺(CS-PAM)。以絮凝率为指标,探讨了原料配比、接枝温度和接枝时间对絮凝剂性能的影响,确定了最佳制备条件。利用扫描电子显微镜(SEM)和傅里叶变换红外光谱(FTIR)对CS-PAM接枝共聚物的结构和形貌进行了表征。结果表明:在壳聚糖(CS)与丙烯酰胺(AM)物质的量比为 1:4 、接枝温度为 55°C 、接枝时间为4h时制备的絮凝剂效果最佳,能够有效地絮凝丹参中药液中的悬浮物。CS-PAM接枝共聚物具有均匀的颗粒形态和良好的结构稳定性。
摘要:高密度下聚合物纳米复合材料会出现多级弛豫和动力学不均匀性,与粒子堆积、扩散以及协同运动等密切相关,同时也受局域结构对体系相邻粒子笼中粒子运动的影响。为深入研究该现象,构建了纳米粒子-聚合物复合体系的物理模型,以分布函数、均方位移、自中间散射函数、四点关联函数等动力学参数为研究对象,采用分子动力学模拟方法进行模拟计算。结果表明:在不同密度下聚合物纳米复合材料呈现出短程有序和长程无序的结构特征。在高密度条件下体系存在3类不同扩散阶段,并且亚扩散阶段平台持续时间随密度增加而延长。此外,还发现体系中粒子在高密度下的动力学不均匀性较为显著,从而导致聚合物纳米复合材料呈现动力学迟缓并且出现协同运动现象。
摘要:掺入糠醛渣灰作为制备改性硫氧镁水泥的骨料,利用抗压抗折一体机、X射线衍射仪、扫描电镜对水泥的抗压强度、物相组成、微观形貌进行测试。结果表明:掺入糠醛渣灰能够提升改性硫氧镁水泥的抗压强度,当掺量为 10% 时,水泥 28d 抗压强度最高为 44.3MPa ,是基准试样的 112.72% ,同时提高了水泥的耐水性能,掺入糠醛渣灰可以改善改性硫氧镁水泥的微观结构,促进5·1·7相的生长,使得形貌更加致密。
摘要:采用水沉淀法合成氧化亚铜 (Cu2O) 纳米颗粒作为前驱体,后通过水热法使用 Na2S 蚀刻 Cu2O 表面,制备出了 Cu2O@CuS 复合抗菌材料。通过多种表征手段对 Cu2O@CuS 复合抗菌材料进行分析:FT-IR结果表明其具备 Cu-0 伸缩振动特征衍射峰和Cu-S拉伸峰。XRD结果表明: Cu2O 和CuS晶体结构分别为立方体和六方相;XPS结果表明 Cu20 与CuS之间存在远超物理混合相的异质结构。SEM结果表明:其形貌为纳米球体及平均粒径为 20nm ;TEM、EDS结果表明其包覆结构以及 Cu 、O、S元素组成。在抗菌活性实验中, Cu2O@CuS 的大肠杆菌和金黄色葡萄球菌最低杀菌浓度分别为 320μg?mL-1 和385μg?mL-1 。
摘要:以城市污水处理厂二沉池剩余污泥为研究对象,在初始 pH12 条件下预处理污泥基础上,探究不同导电粉末(微米铁粉、纳米铁粉、铜粉及石墨)对微生物异化铁还原及蓝铁矿法磷回收效能的影响。结果表明:投加 1g?L-1 的铁粉及石墨作为导电粉末对 Fe3+ 的还原、异化金属还原菌(DMRB)的富集和蓝铁矿生成均有促进作用,其中微米铁粉促进效果最为明显。微米铁粉加速了电子传递效率,实验第1天系统内 Fe2+ 浓度达到最大值 139.31mg-L-1 ,相比不投加导电粉末的体系增加 99.44mg.L-1 。此外,厌氧15d后微米铁粉系统内具有异化金属还原功能的菌属占比高达 40% 左右且 PO43- -P浓度几乎为零,系统内生成较高纯度的蓝铁矿。研究结果可为城市污水处理厂高质量回收磷提供理论依据和技术支持。
摘要:以甲胺乙醇(MDEA)和哌嗪(PZ)混合物为吸收剂,研究非湿润条件下去除酸性气体 CO2 和HS的效率。使用COMSOL软件建立的二维稳态的中空纤维膜接触器,考察了气液流速、浓度、孔隙率、膜组件长度等因素对脱除酸性气体的效率的影响。结果表明:MDEA/PZ混合吸收剂的脱除 CO2 和 H2S 效率较好,MDEA/PZ混合吸收剂脱除 CO2 效率明显高于单一MDEA吸收剂脱除 CO2 的效率。利用DesignExpert响应面分析法观察到5个因素对脱碳率的影响,排序为液体浓度>孔隙率 :> 气体流速 > 液体流速 .> 组件长度。当MEDA/PZ溶液浓度为 3.5mol?L-1 ,气体流速为 0.1m?s-1 ,液体流速为 0.09m?s-1 膜组件长度为 0.75m ,孔隙率为 50% 时,脱除效率最高。
摘要:胺基类吸收剂被广泛用于中空纤维膜接触器中吸收 CO2 。通过模拟研究,对比新兴胺基吸收剂苄胺(BZA)与传统吸收剂在中空纤维膜接触器中的脱碳性能,并选取质量分数为 30% 的苄胺(BZA)溶液作为参照组,与掺杂质量分数为 2% / 6% 和 10% 氨基乙基乙醇胺(AEEA)的BZA混合溶液在不同操作条件下进行脱碳性能比较。结果表明:AEEA掺杂质量分数低于 6% 时,会降低混合溶液的脱碳性能,当AEEA掺杂质量分数为 10% ,BZA为 20% 时,其脱碳性能明显优于单一BZA溶液,说明选择两种吸收剂进行适当配比混合后,可显著提高溶液的脱碳性能。
摘要:ZnO是一种常用的气体脱硫剂,它在脱硫效率上表现优异,但其再生困难、脱硫废剂处理难度高,从而限制了其大规模应用。采用水热法,通过掺杂一定配比的Ni和Co制备锌镍钴复合脱硫剂,并将脱硫后的废剂经阳离子交换反应转化为含铜复合金属硫化物,制作成电池的正极材料,并研究其电化学性能。
摘要:通过NaF表面改性制备了氟化纳米零价铁(F-nZVI),系统考察了F/Fe摩尔比、PNP初始浓度、投加量、 pH 及共存离子对其去除对硝基苯酚(PNP)的影响。结果表明:F/Fe摩尔比为1/3的F-nZVI在 60min 内对PNP的去除率优于未改性 。当投加量为 200mg?L-1 时,对初始浓度为40mg.L-1 的PNP去除率可达 99.7% ,去除容量达 198.8mg?g-1 ;酸性条件( pH 为5)显著促进反应,而共存离子 (Mg2+ 、 Ca2+ 、CI)可进一步强化去除效果。该研究为nZVI改性及其在水处理中的应用提供了理论支持。
摘要:铬作为工业领域广泛应用的过渡金属之一,有着重要的应用价值。然而,当环境中铬含量超标时,会对水体和土壤造成污染,进而威胁生态环境与人类健康。通过吸附技术去除污染水体中的铬离子,是当前处理铬污染的重要手段之一。在此背景下,研发操作简便、吸附效能高且无二次污染风险的新型吸附材料,对于有效解决水体铬污染问题具有重要的现实意义。以改性拟薄水铝石、壳聚糖为基础材料,PVA为成膜剂、丙三醇(甘油)为增塑剂,戊二醛为交联剂,采用溶胶-凝胶法制备成拟薄水铝石-壳聚糖复合薄膜,而后对其形貌和结构进行表征,并用模拟废水探究不同变量对其吸附铬的影响。结果表明:在pH值为3、拟薄水铝石溶胶与壳聚糖溶胶体积比为1:2时,吸附性能达到最高水平,3\~4h能达到吸附平衡,并且初始污染物浓度越低,吸附率越高;初始污染物浓度越高,吸附量越高。
摘要:利用 DSC 法研究了碳酸钙改性管道聚乙烯的非等温结晶动力学。通过 Jeziomy 法和莫志深法分析非等温结晶过程的动力学参数。结果表明:材料的起始结晶温度、结晶温度和半结晶时间随着降温速率的增加逐渐降低。Jeziorny法显示,随着冷却速率的增加,Avrami 指数和结晶速率常数增加,半结晶时间降低;碳酸钙提升了聚乙烯的半结晶时间。莫志深法显示,单位时间内达到一定结晶度所需要的降温速率随着相对结晶度的增加而增加。碳酸钙改性聚乙烯管道的加工适当提高冷却速率以提升加工性能和物理性能。
摘要:中国作为全球最大的钢铁生产国,焦炭生产在煤、焦、钢产业链中占据重要地位。然而,我国优质炼焦煤资源有限,低变质程度的弱黏结煤占比较高,制约了焦炭质量的提升。为降低炼焦配煤成本并优化焦炭性能,以清涧瘦煤(QJ)、岱庄1/3焦煤(DZ)和江苏港口焦煤(JS)为研究对象,采用海拉尔褐煤热解萃取物(cokepyrolysis extract,CPE)作为添加剂,系统研究了CPE 对煤料黏结指数及焦炭强度的影响。通过热重分析、拉曼光谱、显微强度和偏光显微镜等表征手段,探讨了CPE 添加量对焦炭微观结构和宏观性能的影响机制。结果表明:CPE与QJ的共炭化效果显著,能够有效提高配合煤的黏结指数和焦炭显微强度,同时降低焦炭的气化反应性(CRI)。研究结果为增加弱黏结煤在炼焦配煤中的使用比例、节约优质炼焦煤资源提供了理论依据,并为低变质程度褐煤的高效利用开辟了新途径,对推动煤清洁转化技术及焦化行业的可持续发展具有重要意义。
摘要:本文研究了不同晶化温度对 SBA-15 分子筛孔结构及形貌的影响,利用傅里叶红外光谱(FTIR)和扫描电子显微镜(SEM)对不同晶化温度下合成的SBA-15分子筛进行了表征。研究了不同晶化温度下制备的SBA-15分子筛对 Cr(VI) 的吸附性能。结果表明:晶化温度为 100°C 时制备的SBA-15分子筛对 Cr(VI) 离子的吸附率最高。当吸附时间为 40min 、溶液 pH 为2、吸附温度为45 C 时,对 Cr(VI) 离子的吸附率达到 67.86% 。
摘要:为分析溢油扩散规律,采用浅水方程和渗流方程创建了新的油品泄漏扩散模型。基于验证过的模型,考虑泄漏速度、含水量和孔隙度对泄漏扩散的影响,分析了陆上溢油扩散规律。模拟结果表明:泄漏模拟前21s内柴油扩散的总面积为 1105cm2 ,占最后泄漏扩散面积的 65.02% ,与实验结果的65.84% 相比,模拟结果与实验结果非常接近;在泄漏速度较高时泄漏高度随着时间的延长而增加更快;含水量较高时泄漏高度的变化趋势变得一致;土壤孔隙度越高,泄漏高度增加速度越快;含水量越小、孔隙度越小,柴油的泄漏横纵最大位移越大。
摘要:1,4-丁二醇(BDO)作为重要的化工原料,主要通过1,4-丁炔二醇(BYD)与 H2 在高压和雷尼镍催化剂存在下反应制得,目前工业上雷尼镍催化剂的寿命一般为4\~6个月,寿命较短,催化剂的寿命主要受原料中杂质的影响。本文研究了BYD中Cu、S、P以及氢气中CO体积分数对催化剂性能的影响,考察了不同条件对副产物丁醇和TBA(2-(4-羟基丁氧基)四氢呋喃)选择性的影响。
摘要:通过浸渍法合成不同复合量的氧化铜/氧化锌异质结光催化剂,探讨氧化铜复合量对氧化锌结构及光学特性的影响,以罗丹明B(RhB)溶液为模拟污水,考察其光催化性能。结果表明: CuO-ZnO 异质结的形成可以促进光生电子与空穴的分离,减小禁带宽度,进而提高光催化剂性能。当CuO质量分数为 10% 时,光催化性能较佳,在光照 60min 后对RhB的降解率达到 91% ,是纯 ZnO 的3倍以上。
摘要:本文采用全原子分子动力学模拟方法研究了不同疏水烷基尾链结构的十八烷基硫酸盐表面活性剂C-18S、C18S(FO-180N)、C18S(FO-180)在空气/水界面上的聚集行为。通过密度分布、表面张力、界面生成能、径向分布函数、氢键数量、扩散系数和空间分布函数考察了疏水烷基尾链支化度不同的表面活性剂对界面活性的影响,探讨了其差异化的作用机理。结果表明:3种表面活性剂降低表面张力的能力不同,疏水烷基尾链支化度最高的表面活性剂C18S(FO-180)体系能够引起最低的表面张力、最大的界面生成能和最稳定的聚集结构,表面活性剂疏水烷基尾链的结构对其在界面的聚集行为及界面性质有显著影响。
摘要:将Ti粉、Al粉、TiN粉、石墨烯进行混合,通过真空热压烧结技术,制备出石墨烯/Ti4AIN复合材料,研究了烧结温度、压强、保温时间对物相组成及形貌的影响。结果表明:最佳的烧结条件温度为 1400C 、压强为 30MPa 、保温时间为 2h ,石墨烯作为增加相,复合材料更加致密,随着压强、保温时间的增加,其密度逐渐增大,硬度虽呈减小趋势,但都比纯Ti4AIN3的硬度大,其最佳条件硬度值为 6.05GPa 。
摘要:探讨了曼海姆法生产硫酸钾过程中,不同反应温度对产品指标的影响。通过调节反应温度至 500~540°C ,分析了硫酸钾的转化率、氧化钾含量、氯离子含量及游离酸等关键指标的变化。结果表明:反应温度显著影响产品质量,适宜的温控有助于提高产品指标和生产效率。
摘要:选取4种牌号聚碳酸酯(PC)粒料通过共混熔融的方法对PC板材进行耐低温和光学性能的研究。结果表明:聚碳酸酯粒料LXW-4、S1240T、Lexan EXL1414T、URC2505E相容性、共混体系熔融流动性好,各组分功能互补。当LXW-4、S1240T、Lexan EXL1414T、URC2505E 按质量分数分别为 67% ! 8% 、 15% 、 10% 共混时,PC板材的低温冲击强度 47.5kJ?m-2 ,透光率 85.7% ,雾度 4.1% 。
摘要:金属盐固载到大孔磺酸树脂上,制备获得 D72-M树脂催化剂。代替路易斯酸催化氢化双酚A型环氧树脂合成中的醚化反应过程,表现出了优良的催化效果,且催化剂重复使用性能好。另外,对醚化中间体进行环化反应时,未见明显放热现象,得到的氢化双酚A型环氧树脂产品为接近无色透明的液体,收率 ?98% ,黏度 2300~2500mPa?s ,环氧值 0.43~0.47mol?100g-1 ,达到目前市售优级品指标。
摘要:以稻壳粉为前驱体合成碳量子点(CQDs),并通过水热复合法成功构建了 CQDs/g-C3N4 复合光催化剂。采用系统表征(XRD、FT-IR、TEM、UV-Vis、PL)表明,CQDs可有效促进 g-C3N4 中光生电子-空穴的分离,进而增强光催化性能。 0.05CQDs/g-C3N4 复合催化剂在可见光下性能最优,其RhB降解率和降解速率常数分别为纯 g-C3N4 的2.46倍和3.97倍。活性物种捕获实验表明,降解过程中的主要活性物质是 ?O2- 。同时,复合催化剂表现出良好的稳定性,经过3次循环反应,RhB的降解率只降低了 3.7% 。研究结果可为开发高效、稳定的生物质碳基复合光催化剂提供新策略。
摘要:采用直接热解策略制备了 Fe/Fe3C 纳米颗粒和 Fe-Nx 单原子位点共存的Fe-N-C-800玉米秸秆碳基双活性位催化剂,并应用于催化苄胺氧化合成亚胺中。在最优反应条件下,反应物苄胺可完全转化,目标产物亚胺选择性高达 93% 。结果表明:双活性位点之间的协同效应是催化剂具有优异催化性能的主要来源,同时,Fe-N-C-800催化体系具有良好的底物普适性和循环稳定性。
摘要:光催化作为当前一种热门的催化技术,在能源治理方面取得了很大的成就。光催化剂MOF在降解有机污染物、CO2还原、水制氢等方面被广泛应用,但是MOF存在稳定性差、骨架易坍塌等缺点,因此,核壳MOF基复合材料被进一步开发出来。核壳MOF具有独特的核壳结构,提升了材料的稳定性,并且保留了MOF比表面积大、高孔隙率的优点。主要介绍了几种核壳MOF基复合材料的合成方法,其中包括原位合成法、一锅法、逐层组装法、自模板法和其他方法,并结合其研究进展进行综述。最后,对核壳MOF材料未来的研究方向提出展望。
摘要:镉易通过食物链传递、富集和生物放大作用进入人体,对神经系统、肾脏、肝脏等多方面造成危害。含镉废水处理已成为亟待解决的问题之一。本文综述了采用吸附法处理含镉废水的研究进展,重点关注了碳基吸附剂、矿物吸附剂、生物质吸附剂、生物聚合物吸附剂及纳米二氧化硅吸附剂对水中镉离子的吸附性能及吸附机理。
摘要:恶臭气体一直是污水处理中的一个重要问题,恶臭气体中的有害物质威胁着环境和人类的身体健康,所以需要对其进行更加深入的研究。本文主要概述了恶臭气体的特点、危害以及处理方式,重点介绍了低温等离子体处理恶臭气体中有害物质氨气、硫化氢、甲硫醇的研究现状,对未来低温等离子体治理恶臭气体污染的研究提出展望。
摘要:层状双氢氧化物(LDHs)纳米材料凭借高度可调的内部结构、优异的离子交换能力、可控的层间空间,在电化学传感器电极改性剂中受到广泛关注。同时,LDHs还可与贵金属纳米颗粒、导电聚合物、石墨烯基等材料复合,制成修饰电极用于某些物质的电分析,展现出显著增强的电催化活性和选择性。文章系统综述了近年来LDHs基纳米材料在电化学传感器中的创新应用,最后对该领域的技术挑战与发展方向进行了前瞻性展望。
摘要:化工产业是鞍山市七大支柱产业之一,进一步推动化工产业精细化程度,提升产业科技创新驱动力,是实现化工行业高质量发展的关键引擎,是构建具有辽宁特色优势的现代化产业体系不可或缺的物质支撑。结合鞍山市精细化工产业实际情况,分析了鞍山市发展精细化工产业对于辽宁省石化行业实现转型升级和高质量发展的重要意义及问题,并提出发展方向和解决对策。