摘要:飞秒激光技术脉冲持续时间极短,瞬时功率极高,能够对航空发动机涡轮叶片气膜孔进行“冷”加工,有效解决了传统加工方法存在的热影响大、精度低等问题。本文研究飞秒激光加工技术在气膜孔轨迹填充方面的应用,并设计了5种基本填充方式算法,包括圆环、螺旋线、跟随轮廓、单向和往复填充,分析了各个算法在不同孔型加工过程中的适用性。基于此,本文提出一套完整的轨迹算法。试验结果表明,本文设计的算法直圆孔加工精度为 ±2μm ,热影响区 <5μm ,表面粗糙度Ra约为 0.6μm ,异形孔边界精度为 ±3μm ,表面粗糙度 Ra<0.8μm ,能够保证加工质量,并提高了加工效率。本文算法为航空发动机涡轮叶片气膜孔的高质量制造提供技术支持。
摘要:在风机传动链状态监测中,只能获取基频占比特征,导致监测准确率较低。因此,本文设计基于声纹特征识别的风机传动链健康状态自适应监测方法。方法计算短时能量,并结合基频占比、中高频比和特定频率奇偶次谐波比3个特征,共同构成风机传动链健康状态声纹特征。利用维格纳准概率分布(Wigner-Vile Distribution,WVD)时频分解将声纹特征分解到不同的时频区域,对风机传动链故障状态时域声纹特征进行分离。根据故障状态时域声纹特征,对风机传动链健康状态进行自适应监测。试验结果表明,本文设计方法在监测轴承故障声纹振动频率方面,与实际情况高度吻合,并且平均漏警率仅为 0.038% ,证明其能有效提高监测准确率。
摘要:光热发电具有安全、清洁等优势,能够优化能源结构。本文通过调整太阳能反射镜的尺寸,以最大化光热发电站的光学效率和输出热功率。采用无遮挡布局方案,对光热发电站进行布局,并对太阳能反射镜进行编码,使用自适应遗传模拟退火(Adaptive Genetic Simulated Ammealing,AGSA)算法,寻找全局最优解,计算反射镜的最优尺寸。结果表明,在光热发电站面积有限制的前提下,太阳能反射镜总数为638面,第一圈太阳能反射镜的尺寸为 3.2m×3.2m ,第二圈太阳能反射镜的尺寸为4.4m×4.4mo 该方案使年平均输出热功率最大,提高了能量利用率,后续将考虑更复杂的现实情况,提高算法的实际应用价值。
摘要:非线性广泛存在,因此,研究其稳定性是控制理论中的重要课题。基于此,本文基于MATLAB/Simulink软件,对非线性系统的稳定性进行研究。首先,介绍非线性系统稳定性的基本概念和常用分析方法,包括李雅普诺夫(Lyapunov)稳定性理论、相平面法等。其次,使用MATLAB软件进行数值计算,求解非线性微分方程,以观察系统状态变量的变化。使用 Simulink软件进行系统建模与仿真,仿真结果可以直观展示不同类型的非线性系统稳定性问题。最后,根据相关具体实例,验证方法的有效性和准确性,为非线性系统稳定性分析提供工具。研究结果表明,MATLAB/Simulink软件在非线性系统稳定性分析中具有较高的应用价值。
摘要:在复杂风况下,风电机组在运行过程中易出现偏航误差,会导致风能利用率降低,影响设备安全。本文针对该问题,提出一种基于激光测量技术的偏航误差识别与闭环校正策略。在风轮前方布设激光测距装置,实时获取主导风向信息,并与风电机组数据采集与监视控制(Supervisory Control And Data Acquisition,SCADA)系统实现数据同步,构建风轮控制模型,提出基于激光测量反馈的比例-积分-微分(Proportional-Integral-Derivative,PID)闭环控制策略。在华北某风场进行现场实测验证,结果表明,采用本文策略,能够减少偏航误差均值,降低波动幅度,风能利用率提高 9.1% 。本文策略有效提升了风电机组的控制精度与运行稳定性,工程推广价值较高,智能化应用前景广阔。
摘要:为了满足对磁分析器质量色散能力的要求,本文提出了一种非对称、斜入射设计的高色散(质量色散系数 K 约为6)离子光学方案。根据包括边缘场效应的一阶离子光学理论,并采用数值计算方法,本文研究了90° 偏转扇形均匀磁场中关键参数(例如归一化像距 L2 、出射角 ε2 、双聚焦像距 La 以及色散系数 K )与初始条件(例如归一化物距 L1? 入射角 ε1 )的定量关系。为了验证该理论的效果,使用CSTStudio Suite软件进行离子轨迹仿真。结果表明,理论计算与仿真高度一致,在优化参数区间( L1 为1.2\~1.4, ε1 为 26°~29° )内,能够实现 K≈6 的质量色散。本文结合理论与仿真,为紧凑型、高性能磁分析器的设计提供了可靠参数和理论支持。
摘要:针对复烤片烟生产中非烟物质分拣效率低、精度不足等问题,本文采用Delta并联机器人结合ResSE-YOLOv5算法、CB-LSTMPFC轨迹规划技术及GE-ZCT实时通信机制,开展非烟物质智能分拣技术研究。研究结果显示,系统对八类非烟物质的平均识别准确率达 99.2% ,机器人末端轨迹误差小于 ?0.2mm ,分拣效率最高为3680次/h,端到端通信延迟小于或等于15ms,连续8h故障率小于 0.1%o 该研究可有效满足复烤片烟生产线规模化、精细化分拣需求,为行业智能化升级提供关键技术支撑。
摘要:本文基于粒子群优化算法研究了一种新的电力系统无功电压综合控制策略。构建无功电压隶属度函数,采用加权求和法得到综合目标函数,设置目标约束条件,采用两两比较法构造判别矩阵,结合粒子群优化算法,迭代求解最优无功电压调节方法,计算亲密度函数,避免粒子群陷入局部最优,确保优化控制结果的多样性。试验结果表明,基于粒子群优化算法的电力系统无功电压综合控制策略能够实现精确的电压控制,复合速率系数与理想值基本一致。
摘要:为了解决医药、食品精密仓储高湿多遮挡环境下传统传感器涂层易损坏、数据采集误差大以及传输不稳定等问题。本文设计 SiO2-ZrO2-Al2O3 复合纳米陶瓷涂层传感器, ∴Δ50nm 纳米 Al2O3 为基体,复配 30nmZrO2 20nmSiO2 ,设对照组和4个试验组,经真空干燥、高速分散、超声处理、静电喷涂及固化制备 60μm 涂层,结合信号衰减修正模型( Acorr=Ameas-k× ( RH-RH0. )和LoRa协议优化传输。在华东某 1200m2 医药阴凉库(温度为 2°C~10°C 、湿度为 35%RH~82%RH )及模拟环境测试30d,结果显示试验组2( Al2O360kg , ZrO220kg 以及SiO220kg )的鼓泡率仅为 3.2% ,脱落面积为 2.4mm2 , 20h~24h 温度、湿度误差分别为 ±0.08°C 、 ±0.7%RH ,满足GSP要求,可以填补极端仓储监测空白。
摘要:为了解决港口筒仓机器人目标检测中兼顾精度与实时性的问题,提高港口自动化操作水平,本文将以YOLOv8算法为例,重点对深度学习目标检测进行分析,并以此为基础提出基于YOLOv8的系统设计。结果表明,YOLOv8方法具有高效的目标检测能力和鲁棒性,能够在光照变化、目标尺度差异等条件下实现mAP@0.5达0.91的精度和31FPS\~40FPS的实时性,研究结果具有较高的实用性和适应性,能够为港口筒仓机器人自动化发展提供参考帮助。
摘要:为了解决分布式光伏发电系统在电网运行中的调度控制问题,首先,本文提出了基于大数据挖掘的光伏再调度方法,以光伏发电出力特性和电网运行需求为切入点,构建光伏-负荷联合预测模型。其次,设计多层次架构的调度控制系统,实现数据采集、分析决策和闭环控制的一体化。最后,提出光伏和主电网及火电机组的协调运行策略,通过实际案例验证了该方法的有效性。研究结果表明,本文提出的调度策略提高了系统运行效果,为大规模分布式光伏并网提供了可靠的技术支撑。
摘要:针对光伏电站传统运维效率低、故障诊断滞后的问题,本文构建基于数字孪生的智能监控和故障诊断体系。通过建立光伏电站三维物理模型和动态仿真模型,结合传感器数据采集和5G通信技术,实现虚实映射和实时交互功能。利用卷积神经网络构建逆变器故障诊断模型,基于长短期记忆网络模型进行组件性能预测。在某100MW光伏电站的实践表明,该技术使故障诊断准确率从 78% 升至 92.6% ,平均故障响应时间缩至 8.2min ,年发电量损失减少 70.8% ,运维成本降低 25.3% ,为光伏电站智能化运维提供量化解决方案。
摘要:本文提出了一种基于神经网络算法的电力负荷异常波动检测方法。通过预处理电力负荷数据、构建多层感知器(MLP)模型并对模型进行训练和验证,实现了对电力负荷异常波动的有效检测。试验结果表明,该模型在准确率、召回率和 F1 -score等指标上均表现优异,准确率达到 98.75% 。模型成功识别了多种类型的异常波动事件,尤其在突发性负荷增加的检测上表现出色,准确率达到 100% 。与传统机器学习算法相比,神经网络处理复杂的非线性关系和大规模数据时具有更强的学习能力和更高的准确性。
摘要:针对传统旋转机械振动信号检测中存在的云端传输延迟高、数据处理效率低及实时性不足等问题,本文提出基于边缘计算的实时异常检测方法。首先,构建边缘一云端协同架构,在边缘节点完成振动信号的采集、预处理和特征提取任务。其次,设计轻量化特征提取模块,结合改进小波阈值去噪和短时傅里叶变换高效提取关键特征。最后,引入优化的轻量级卷积神经网络作为异常检测模型,在边缘端完成实时推理和异常判定。试验表明,该方法可以显著降低数据传输量,提高异常检测响应速度,满足旋转机械高实时性监测需求,为工业设备预测性维护提供技术支撑。
摘要:由于外力破坏、自然灾害以及线路老化等原因造成的导线表面损伤是导致架空输电导线力学性能和电气性能下降的重要因素,及时对输电导线表面损伤进行检测及损伤程度评估是保障电网安全、稳定运行的必要手段。本文针对远距离架空输电导线损伤评估需求,开展激光测距与图像处理相结合的技术研究,构建导线损伤快速智能评测技术,实现远距离架空导线损伤面积快速定位和高精度测量与评估。再通过一系列试验分析统计,验证其在电力维护作业中的可行性。
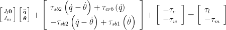
摘要:本研究聚焦于具有非对称载荷相关摩擦的机器人关节,构建高精度模型,并深入分析其特性。针对传统模型描述此类关节动力学时的不足,提出基于改进齿模型的解决方案,结合特定试验设计与参数估计方法,显著提高模型对复杂摩擦特性的捕捉能力,与标准刚性关节模型进行对比,验证了新模型模拟机器人关节运动时的优越性,为机器人控制与优化提供了支持。
摘要:随着社会治安形势日益复杂,公安机关在案件侦破中面临海量数据和高强度决策压力。传统人工分析方法存在明显局限,难以满足现代侦查需求。本文研究了大模型技术在公安案件侦破中的应用,提出了融合自然语言处理、图神经网络、强化学习和多模态数据融合的技术体系,旨在增强案件信息分析、线索推理、决策优化和数据处理能力。通过试验验证,本文提出的技术在文本分析、线索推理以及决策支持等方面均优于传统方法,显著提高了侦破效率和准确性,为公安侦查提供了强有力的智能辅助。
摘要:为了解决直升机复合材料结构在雷击、电磁干扰和静电防护中的导电性问题,本文基于复合材料的各向异性导电特性,提出了一种分层递进式电搭接设计方案。通过优化界面处理工艺、建立多层防护体系和完善密封防腐设计,进行结构完整性与导电连续性的协同设计。建立了考虑材料特性和界面状态的接触电阻预测模型,提出了基于电磁场理论的屏蔽效能评估方法。工程实践表明,该设计方案能够使关键部位搭接电阻稳定性优于 ±20% ,电磁屏蔽效能达到40dB以上,满足适航要求和工程应用需求。
摘要:随着物联网技术的快速发展,传统家居电器智能化改造需求日益增长。研究设计了一种集成低功耗蓝牙(BLE)模块的蚊香液加热器智能控制系统,实现远程定时控制、温度精准调节和智能防干烧功能。系统采用CC2640R2F微控制器作为核心处理单元,集成温度传感器、液位检测单元和智能加热控制电路,通过BLE通信协议实现与移动终端的数据交互。试验结果表明,该设计在功耗、控制精度和通信稳定性方面均达到预期目标,加热温度控制精度达到 ±1°C ,待机功耗低于 5mW ,通信距离可达到 30m ,有效提高了蚊香液加热器的使用安全性和便利性。
摘要:该文以飞机机翼芳纶、碳纤维复合材料前墙零件为研究对象,对零件整体制造方案以及零件制造关键过程进行研究。经实际生产验证,对“L”形缘条复合材料零件采用阳模成型方法能够有效控制零件的“R区”质量。对成型模向外修型0.6°可以有效补偿缘条零件的收口变形,获得外形尺寸合格的零件。采用放置可剥保护层的方法可获得表面质量良好的复合材料制件。该研究结果对复合材料类似结构制件的制造工艺具备参考意义。
摘要:随着智能电网和可再生能源广泛应用,电力设备的热管理问题也日益突出。研究提出了电力设备热管理技术及其效率提升策略,重点探讨了被动散热技术、主动散热技术及热管与热界面材料技术的应用。通过试验分析,验证了新型散热材料与智能化控制系统在提高散热效率和能效方面的效果。试验结果表明,集成风冷 + 液冷系统能有效降低设备温度并提高能效,具有显著的热管理优势。
摘要:针对高速加工过程中机床热变形导致的几何精度衰减问题,本文建立立式数控机床主轴系统热特性理论模型。通过布置十二组温度传感器监测主轴关键区域温升曲线,结合激光干涉仪实时测量 X,Y,Z 轴向热位移量。试验表明,主轴转速升至 8000r/min 时,温升梯度达到 2.8°C/min ,主轴悬伸端产生 21.7μm 的热变形误差。工件检测数据分析发现,热变形使端面平面度误差增加 42.3% ,孔位定位精度下降 33.8% 。基于最小二乘法构建的热误差补偿模型经实测验证,将 300mm×300mm 测试件轮廓精度控制在 ±5μm ,研究结果为高精度机床热管理提供理论依据。
摘要:研究针对大断面隧道掏槽爆破中钻爆台车空间约束使开口距增加,导致破岩效能低下的工程难题,分析了掏槽参数的约束条件,建立了开口距、炮孔倾角及深度的关联模型,推导最小开口距计算公式,并基于柱状耦合装药裂隙区理论,构建了一级掏槽深度与破碎孔深度的确定方程。采用ANSYS/LS-DYNA建立三维动态爆破模型分析,掏槽完成度与开口距及一级掏槽深度呈现显著的关联规律,当开口距增加时,掏槽完成度逐渐降低,随着一级掏槽深度增加,完成度可以逐渐改善,但其增益效应随深度增加逐渐放缓。研究成果可以使大口径掏槽设计从经验试错向力学机理驱动的模式转变。
摘要:针对传统市政公路质量检测中单一数据源精度低、泛化能力弱等问题,本研究提出一种基于多源数据融合的检测技术。该技术整合物理传感、图像识别与工程文档3类数据,构建“数据一特征一决策”三级融合框架,通过动态权重迁移模型提高小样本泛化能力,利用跨模态残差特征模块实现深度融合,并引入施工质量风险指数(Construction Quality Risk Index,CQRI)实现质量等级动态划分。试验表明,该方法裂缝检测准确率达到 97.6% ,路基沉降误差控制在 ±0.3mm ,CQRI评估准确率为 92.8% ,检测效率提高 40% ,漏检率降至 .0.3% ,为智慧交通建设提供了可靠的技术支持。
摘要:本研究针对煤矸石堆存引发的环境问题,探究了煤矸石基固化剂联合煤矸石骨料改良煤泥的路用性能。试验结果表明,当煤矸石骨料掺量为 20% 时,固化煤泥的无侧限抗压强度(28天达到 2.33MPa )和CBR( 100% 压实度下 39.2% )均达到峰值,满足公路路基规范要求。该技术为煤矸石资源化利用提供了可行方案,兼具环境效益与工程应用价值。
摘要:为了提高输电塔基生态修复效率,本文针对传统复绿方式作业效率低、播种适应性差的问题,对松播机在输电工程中的实际应用进行研究。通过工程实践案例,系统分析了松播机在播种装置结构、地形适应系统、动力分配机制及故障预测系统等方面的创新设计与优化路径。研究表明,经优化后的松播设备在复杂地形下具备良好的作业连续性与播种精度,显著提高了复绿质量与施工效率,为输电线路生态恢复提供了可行的机械化作业方案。
摘要:为验证挂篮悬浇连续梁0#节段施工托架的承载能力,本文研发一种适用托架预压的反力架工装,该工装简化了传统采用砂袋或预制块预压的复杂工序,降低了预压过程的安全风险。本文结合工程案例,详细介绍0#块施工托架及反力架工装的构造设计,并进行结构检算,检算结果表明,反力架预压工装在各工况下的强度、刚度及稳定性均满足规范要求。通过某高桥墩悬浇连续梁0#节段施工托架预压应用实践,采用反力架预压工装对施工托架进行预压试验,试验数据与实际监测结果相吻合,应用效果良好,推广前景广阔。
摘要:为了探析地裂缝地区隧道施工中隧道结构的稳定性和防水难点,本文基于f2地裂缝暗挖隧道,通过有限元软件建立地裂缝-隧道耦合模型,分析了小导管长度、角度以及直径对地表沉降的影响,确定了适合本工程的注浆小导管施工参数。并现场勘察隧道结构渗漏水情况,从外包防水、施工缝和特殊变形缝3个方面提出了针对性建议。研究表明,在隧道穿越地裂缝过程中,地表沉降增长速率大致可分为3个阶段,即缓慢增长阶段、急剧增长阶段和稳定阶段。在一定范围内,改变小导管长度、角度以及直径,对地表沉降具有良好的改善效果。本工程小导管注浆合理施工参数为长度 4m 、角度 15° 和直径 42mm 。本文研究内容和方法可为类似地裂缝隧道工程提供一定借鉴。
摘要:软土区工程建设的承载力、沉降控制要求较高,本文结合工程实际,在地基处理方案筛选基础上进行了各类参数设计和计算,并通过现场沉降监测,进行了沉降监测成果分析和发展趋势评价。分析结果表明,CFG桩复合地基适用于软土区地基处理,结合工程实际,CFG桩采用圆桩,直径为 0.5m ,桩长为 15m ,持力层为 ⑥ 粉质黏土层,桩中心距为 2m ,按照正方形布置,混合料强度采用C25。同时,经地基处理后的沉降特征分析,各监测点的后续沉降量均趋于稳定,并且都在设计要求的沉降控制范围内,验证了地基处理设计的合理性,达到了预期效果。
摘要:公路路基病害的检测与治理是保证交通安全与行车舒适性的重要环节。本文以某国道为案例,探讨了回弹弯沉检测技术在公路路基病害检测中的应用。对该路段的病害特征进行了系统性分析,采用落锤式弯沉仪进行全断面检测,揭示了弯沉值的显著空间差异及其与路基承载能力的关系。检测结果显示,病害区域的弯沉均值超出设计允许值近3倍,并且弯沉盆半径显著缩减,表明路基支撑能力严重弱化。基于检测数据,本文提出了针对性的治理方案,包括地基加固、填筑体补强和排水系统优化等措施。治理后监测数据显示,弯沉增长率显著降低,验证了回弹弯沉检测技术在公路路基病害诊断与治理效果评价中的核心作用。
摘要:本文针对单层工业厂房纵向支撑体系的设计,进行了刚度与强度的双重研究。首先,在理想无缺陷条件下,基于简化单柱与多跨框架模型,推导了支撑刚度下限与系统临界承载力的关系,并通过有限元仿真验证了理论模型的适用性。其次,针对存在初始倾斜与初弯缺陷的单端、双端支撑结构,建立了非线性平衡与稳定性判据,提出了简化的支撑强度设计公式,并给出了工程友好的近似表达。研究表明,适度放大支撑刚度可显著抑制缺陷效应,降低附加内力;单端与双端体系的强度需求随柱列参数呈非线性增长;斜撑布置角度与节点刚度对整体性能具有重要影响。
摘要:城区道路桥头路段连续放坡会导致路基荷载呈规律性递减,进而引起差异沉降控制问题,本文结合具体工程,基于沉降速率法,通过反演分析揭示了城市道路桥头连接段的沉降变化规律,并考虑实际工程中地基透水夹层、实际加载过程等对地基固结速率的影响。研究结果表明,基于实测沉降数据反演所得地基固结参数明显高于室内土工试验测试结果,实际天然地基的工程性状良好,排水固结效率优于典型的饱和软黏土;在桥头段 10cm 工后沉降控制标准下,当路基沉降速率小于 8mm/Ω 月时即可满足沉降控制要求,为类似城市道路工后沉降分析与控制提供参考。
摘要:高压水射流破拆是一种高效环保的混凝土破碎技术。工程中混凝土多为分层结构,各分层结构性能有所差异。为了揭示水射流冲击分层混凝土的破碎特征,研究基于SPH-FEM耦合算法,建立了高压水射流冲击不同分层参数混凝土的数值计算模型,对比分析了单、双层混凝土在射流冲击作用下的宏观破坏形态。研究表明,混凝土破坏坑形态及损伤演化受材料强度影响显著。 350μs 时,C30-C20分层混凝土破坏面积和破坏速率分别为751.6mm2 、 2.14mm2/μs ,与C20-C30分层混凝土相比,减少 8.7% 和 8.9% ,其原因是分层结构和水垫作用影响了界面损伤传递。采用“上强下弱”分层结构可有效延缓射流破坏进程。
摘要:研究采用熔盐氧化法探究适宜于阳离子交换树脂的熔盐体系、氧化温度、氧化时间、树脂与碳酸盐的质量比等影响因素,通过对比氧化效率及减容比这两个技术指标,得出三元碳酸盐 Li2CO3-Na2CO3-K2CO3 是最适宜阳离子交换树脂的熔盐体系,并采用 88Sr 模拟放射性核素 90Sr ,对放射性核素在废盐中的结构形态进行分析及计算,得出Sr元素最终以 SrCO3 的稳定形态存在于废盐中,其中,Sr元素的截留率高达 93%
摘要:本文从梯级水利工程建设与水土保持之间的协调发展角度出发,提出了基于流域单元的水土保持优化配置路径方法。研究构建了流域单元划分与需求识别方法,建立了“识别-匹配-优化-实施”的配置技术路线,提出了“分类-分区-分级”的空间配置路径和“先控制-后恢复-再提升”的时序实施路径,设计了多目标优化配置模型,并选取长江上游某梯级水电开发流域进行了实证研究。研究表明,基于流域单元的优化配置路径能够显著提高水土保持效益,具有良好的技术可行性和推广应用价值,为梯级水利工程水土保持措施的科学配置提供了理论支撑和技术指导。
摘要:为了奠定矿山露天高边坡防治的理论基础,本文结合工程实际,在进行边坡稳定性分析基础上,进一步进行边坡防治必要性评价。分析结果表明,不论是现状条件还是终了开挖后,矿区边坡始终处于稳定状态,只是稳定程度略有降低,其中,北1剖面、南2剖面的降低程度相对较小,南3剖面的降低程度最大。同时,防治必要性的总得分为195分,暂时无须防治,但是后续进行防治的可能性较大,与稳定性评价结果一致,为矿区边坡后续防治提供了理论依据。
摘要:针对空气污染物浓度预测中非线性时序建模问题,本文提出一种融合注意力机制与LSTM的AQI预测模型。基于某监测站2023—2024年数据,构建双层LSTM与64维注意力层协同架构。试验表明,LSTM-Attention模型在 T+1 (未来1天) ~T+3 (未来3天)预测中显著优于基准模型, T+1 预测 R2 为0.943( MAE=3.21 ), T+3 预测R2 为0.902( MAE=3.74 ),其注意力机制能够动态聚焦关键污染时段,有效抑制长期预测的滞后性误差,为精准环境预警提供可靠技术支撑。
摘要:随着我国经济高速发展,生活垃圾产量剧增已经引起了学术界的关注,而垃圾产量的预测能够为垃圾处理设施规划提供依据,助力垃圾处理方案的制定和优化。首先,本文在数据处理和分析阶段,通过距离相关系数,全面分析社会经济、消费习惯以及政策管理等多方面因素与垃圾产量的相关性,筛选出关键影响因素,为预测模型提供可靠数据支持。其次,采用改进的人工神经网络模型,充分考虑各因素间的复杂非线性关系。在模型构建中,尝试将粒子群算法思想融入梯度下降过程,增强模型跳出局部最优解的能力。
摘要:在传统渗沥液处理中,反渗透膜污染防控技术存在污染识别滞后、清洗方案针对性不足等问题,导致膜通量衰减快、清洗频率高、增加处理成本。基于此,本文提出污染防控改进技术,其通过部署多传感器监测系统采集关键参数、采用优化滑动平均滤波等算法处理数据误差、构建多维度模型识别污染类型,并匹配差异化清洗方案。试验结果表明,该技术污染识别平均滞后时间仅为 3.2min ,10次循环后膜通量恢复率达到90.8% ,优于传统技术。研究可为渗沥液处理系统低耗稳定运行提供技术支撑,也为同类膜污染防控技术优化提供参考。
摘要:电力用户的能耗数据来源广泛、分散,且电力计量设备的精度和可靠性存在差异,难以设置统一的碳排放特征标签,导致碳排放核算难度较大。因此,设计基于智能电表数据的电力用户碳排放核算方法。利用智能电表采集电力数据信息,并根据碳排放特征标签,设计电力用户画像模型,分析电力用户碳排放特征。确定碳排放计算范围,通过梳理各项排放要素,计算碳排放量,实现电力用户碳排放核算功能。试验结果表明,上述方法核算所得的碳排放量数值与电力用户碳排放量的实际情况相符,对制定电力减排策略有一定促进作用。
摘要:目前,我国灌区多基于人工经验调度,水资源利用率低,浪费严重。构建灌区水动力模型是优化灌区水资源调配的有效手段。本文以赣抚平原灌区为例,建立了灌区11条渠道和19个闸门的水动力模型,针对水资源优化利用,模拟了3种调度方案下灌区渠系的水动力状态,通过余水量和水资源利用率来评估水资源调配效果。结果显示,调节节制闸、进水闸并实施精细化调控,可使余水量减少 50% 以上,各级渠道水资源利用率提升至 92% 以上。本文研究为灌区水量优化调度提供了有效方法,也为提升水资源利用效率、推进灌区现代化智慧化发展提供了有力工具。
摘要:在人力资源固定、起止位置多元的复杂环境物资配送领域,存在基于配送任务求解配送方案的问题。针对这个难题,本文方法将任务分解为若干个小任务。首先将任务划分至区域,其次区域将任务分解至仓库,此过程需要考虑各仓库的出库能力,优先选择出库能力强的仓库,最后求解满足任务需求的方案。经过模拟数据输入,将计算结果与固有的人类知识库进行比对,证明本文提出的方法合理有效,能够用于复杂环境的仓库物资配送领域。
摘要:随着电力市场环境不断变化与重构,一些传统营销策略难以取得最佳营销效果。本文提出了一种基于机器学习算法的电力营销业务知识图谱构建方法,旨在推动建立电力营销决策支持模型。本文通过具体实例介绍了该模型的评估方法,并验证了其可行性。基于定性与定量数据融合的电力营销分析模型能够充分考虑对象的不确定性,更符合人类认知模型的特点,能够更客观、真实地反映对象的本质状态,从而对电力营销进行准确评估。
摘要:电力作业现场安全风险图像可能会受环境影响出现失真,降低风险监测的有效性。因此,本文提出基于YOLOv5图像识别的电力作业现场安全风险监测方法。利用Focus模块将输入的电力作业现场图像进行切片处理,并在通道维度上进行区块拼接,利用卷积层生成特征图;通过FPN进行自顶向下的电力作业现场图像特征融合,与浅层的高分辨率细节特征融合,并向相反方向传递融合后的特征,采用 CIOULoss 为损失函数,加速收敛速度,对目标进行有效识别。在该测试结果中,各电力作业现场安全风险状态监测效果良好。
摘要:海洋石油平台火灾探测需应对高风险环境下的实时响应需求,传统系统受网络时延与算力限制难以满足要求。本文通过构建5G与边缘计算融合架构,设计感知层优化、数据处理、智能识别及联动控制机制,实现火情感知、识别与处置的全流程实时化。应用表明,该机制可突破传统技术瓶颈,提升系统响应速度与可靠性,为海洋石油平台安全生产提供智能防护支撑,推动高危场景安全监测技术升级。
摘要:本文构建了建筑施工安全管理标准化体系,引入BP神经网络模型,量化特种作业持证率等8项核心指标。基于某市建设项目,验证了高权重因素对安全等级的动态影响机制,突破了传统评价局限。建立“数据采集-智能评估-精准干预”闭环管理机制,为施工安全管理提供数据驱动的科学方法,助力实现本质安全目标。