摘要:有机无机复混肥作为一种兼容互补性良好的新型绿色肥料,能快速提供养分供应并持久改良土壤质量,对推动我国农业绿色可持续发展具有重要意义。从标准体系状况、生产工艺、企业地域布局与产能等方面分析了当前我国有机无机复混肥的产业现状及面临挑战,结合现有研究成果提出了有机无机复混肥的设计新思路及实施策略,并对产业未来发展提出了以下对策和建议:依托大数据智能设计肥料配方、创新有机物料和矿产资源协同增效的全量养分利用技术、打造产品品牌与加强市场服务、推进质量标准及政策扶持。研究结果为实现有机无机复混肥绿色生产和高效应用提供参考,可促进有机无机复混肥产业健康可持续发展。
摘要:玉米是贵州省重要的粮食作物,提升玉米单产水平对保障贵州省粮食安全和促进农业可持续发展具有重要意义。介绍了贵州省玉米生产现状,并利用自回归差分移动平均(autoregressive integrated movingaverage,ARIMA)模型对贵州玉米播种面积、产量和单产变化趋势进行了预测。围绕贵州山地玉米生产实际,分析了贵州玉米生产主要受到耕地质量差、良种覆盖率低、密度不足、技术到位率低、灾害频发和设施较落后等因素的限制。提出了提升贵州玉米单产水平应从选育高产优良品种、加强高产技术集成、加强设施投入和发挥政策保障4方面着手。同时,介绍了3项贵州玉米种植主推技术。研究结果为构建贵州省玉米高产高效栽培技术体系提供思路,为进一步提升贵州省玉米单产水平和保障粮食安全提供理论支撑和技术指导。
摘要:支链氨基转移酶(branched-chain amino acid aminotransferase,BCAT)是支链氨基酸代谢的关键酶,广泛参与植物的生长发育及逆境适应。通过生物信息学分析鉴定了与水稻 OsDAT 基因同源的小麦TaBCAT-3A、TaBCAT-3B和TaBCAT-3D基因。这些基因在基因结构、氨基酸序列以及蛋白质特性上与 OsDIAT 高度相似。亚细胞定位分析显示,TaBCAT-3A、TaBCAT-3B、TaBCAT-3D主要定位于细胞质和叶绿体。顺式作用元件分析表明,TaBCAT-3A、TaBCAT-3B、TaBCAT-3D启动子区域富含多种激素响应元件和非生物胁迫响应元件。TaBCAT-3A基因启动子区含有特有的防御和胁迫响应元件,进一步支持其在植物逆境适应中发挥重要作用。表达分析显示,TaBCAT-3A、TaBCAT-3B、TaBCAT-3D基因在低温、干旱、高温和盐胁迫等非生物胁迫下被显著诱导,尤其在低温和盐胁迫下表现出显著上调趋势。通过比较3个旱敏感材料与3个耐旱材料在干旱胁迫下的表达差异发现,TaBCAT-3A、TaBCAT-3B和TaBCAT-3D在耐旱材料中的表达均显著下调,在旱敏感材料中TaBCAT-3A的表达显著上调,TaBCAT-3B和TaBCAT-3D的表达变化不显著。综上所述,TaBCAT-3A、TaBCAT-3B、TaBCAT-3D在多种非生物胁迫条件下应答反应,尤其是TaBCAT-3A基因可能在干旱胁迫响应中发挥关键作用。研究结果为小麦的抗逆性育种提供了新的理论依据和实践指导。
摘要:棉花纤维长度直接影响纱线和织物的质量,是衡量纤维品质和经济价值的关键指标。加权基因共表达网络分析(weighted gene co-expression network analysis,WGCNA)通过识别基因表达的协同变化,揭示关键调控基因与性状之间潜在关联,有助于深入理解基因调控网络。基于2个长纤维和2个中等纤维长度棉花品种纤维发育关键时期(花后0\~30d)的转录组数据,WGCNA鉴定出4个与纤维发育显著正相关的模块,分别为绿松石色、蓝色、棕色和黄绿色模块。其中,蓝色模块与花后10\~15d纤维伸长期呈高度相关。GO(geneontology)与KEGG(Kyoto encyclopedia of genes and genomes)富集分析表明,该模块中的基因主要参与蛋白质跨膜运输。进一步通过模块隶属度(module membership,MM)与基因显著性(gene significance,GS)分析,筛选出候选基因GhM_AO8G1439,其编码蛋白属于Tetraspanin家族。进一步从陆地棉中鉴定到29个Tetraspanin 基因家族成员,按照染色体物理位置顺序将候选基因GhM_A08GI439命名为GhTET8。组织特异性表达分析表明,GhTET8在纤维、花瓣和根中高水平表达。亚细胞定位结果显示,GhTET8蛋白定位于细胞膜。功能分析表明,过表达GhTET8可显著促进拟南芥表皮毛的伸长,而在棉花中沉默该基因会导致纤维长度显著下降。综上表明,GhTET8具有正调控棉纤维伸长的功能,为利用该基因改良纤维品质的分子育种研究奠定了基础。
摘要:柠檬酸合酶(citrate synthase,CS)是生物细胞多种代谢途径的关键限速酶。从大豆(Glycine max)基因组中鉴定到6个 GmCSs 基因,系统进化分析将其分为2个亚组,即 亚组和pCS亚组。其中, mCS 亚组包含2个成员,分别是 GmCS1 和 GmCS2 ,均定位于线粒体; pCS 亚组有4个成员 ?GmCSY1,GmCSY2,GmCSY3 和GmCSY4),均定位于过氧化物酶体。同一亚组成员间的序列相似性在 90% 以上,但不同亚组的成员之间相似性仅为 38% 左右。共线性分析显示, GmCSs 家族包含7组共线性基因对,说明该家族通过基因复制实现了成员的扩增。 Ka/Ks 分析表明, GmCSs 基因家族在进化过程中受到纯化选择。大豆 亚组有10个保守基序,pCS亚组有11个保守基序;基因结构方面, mCSs 含有19个外显子,而 AAPCSs 含13个外显子,保守基序和基因结构的差异暗示大豆mCSs和pCSs功能的分化。GmCSs基因的启动子区分布有与发育、激素应答和应激相关的顺式作用元件,说明其参与植物的多种信号转导通路。组织表达模式分析显示, GmCSI 和 GmCS2 在根和根毛中表达量较高, GmCSYI 和 GmCSY3 在花中特异性高表达, GmCSY2 在根部高表达,而 GmCSY4 在花和根中均有较高表达量。表达谱分析表明,所有 GmCSs 基因均受生长素诱导上调表达;淹水胁迫促进 GmCSYI 和GmCSY3的表达,但却抑制了 GmCSI,GmCS2,GmCSY2 和GmCSY4的表达;冷胁迫处理下, GmCSI?GmCS2 和 GmCSY2 上调表达,另外3个基因无显著变化。以上结果为进一步研究 GmCSs 基因的功能及其对生长素和非生物胁迫响应的作用机制提供了依据。
摘要:为研究水肥胁迫对苹果幼树叶绿素荧光特性的影响,选用4年生苹果幼树作为供试果树,在移动式防雨棚下,分别设置充分灌水(W1)、轻度亏缺(W2)、重度亏缺(W3)3种灌水处理和高肥(D1)、中高肥(D2)、中低肥(D3)、低肥(D4)4种施肥处理,测定不同水肥处理下苹果幼树的SPAD值及叶绿素荧光参数光系统Ⅱ的原初光能转化效率 、光合电子传递速率(ETR)、实际光合效率[Y(II)]、非调节性能量耗散比例[Y(NO)]、调节性能量耗散比例[Y(NPQ)],光化学淬灭系数 (qP) 和非光化学淬灭系数 (qN) 。结果表明,随着生育期的推移,苹果幼树 SPAD值在W1D1处理下呈先升高后下降趋势,在其他处理下均呈先升高后下降再升高的趋势,在W2D1处理下果实成熟期最高,其次是W1D2、W1D3和W2D2处理。W2D2处理下苹果幼树的 Fv/Fm 和ETR在萌芽开花期、新梢生长期、果实膨大期、果实成熟期分别为0.787、0.799、0.808、0.769和38.25、43.30、7.25、7.30,Y(II)和Y(NO)分别为0.463、0.529、0.664、0.668和0.310、0.250、0.264、0.268,Y(NPQ)分别为0.228、0.222、0.073、0.065,说明在W2D2处理下苹果幼树受到光抑制程度较低且光能利用效率较高,可以更好地适应高光环境。在W2D2处理下,苹果幼树的 qP 除萌芽开花期外均处于较高水平,且随生育期推移不断上升, qN 在全生育期均处于较低水平,说明W2D2处理下苹果幼树消耗的热能更少,光合能力更强。综合分析表明,北方半干旱地区苹果幼树在W2D2处理(灌水量为田间持水量的 60%~75% N?P2O5-K20 施肥量为 20-15-8g 株-)下具有更强的光合作用调节能力,可以更有效地应对光抑制、适应高光环境并提高光能利用效率,更有利于苹果幼树健康生长。
摘要:为明确旋花科植物叶绿体基因组密码子使用偏好性,对甘薯、三浅裂野牵牛、三裂叶薯、牵牛4种旋花科植物进行叶绿体基因组密码子使用模式分析,同时揭示密码子偏性的影响因素,找出最优密码子。结果表明,4种旋花科植物叶绿体基因组编码基因密码子的GC含量均低于 50% ,且 GC1>GC2>GC3 ,表明其密码子偏好以A/U结尾;有效密码子数为48.20\~51.26,密码子适应指数(codon adaptation index,CAI)、密码子偏性指数(codon bias index,CBI)最优密码子使用频率(requency of optical codons,FOP)分别为0.157\~0.170、-0.096\~-0.091和0.354\~0.358,表明4种旋花科植物叶绿体基因组密码子使用偏好性较弱。ENC-plot、PR2-plot以及中性绘图分析显示, GC1,GC2 GC3 显著不相关,密码子第3位碱基的使用频率表现为 T>A,G>C ,表明决定4种旋花科植物叶绿体基因组密码子使用偏好性的主要因素是自然选择。4种旋花科植物叶绿体基因组密码子中共筛选出37个最优密码子,大多以A/U结尾。以上研究结果为后续旋花科植物叶绿体基因工程和遗传转化研究的开展提供参考。
摘要:为探寻影响烟叶成熟度的关键表征脂质物,利用脂质组学方法并结合色谱质谱法对烤烟品种K326欠熟(GS)、尚熟(SS)、过熟(GS)3个不同时期烟叶进行分析,筛选影响烟叶成熟度的关键表征脂质物。结果表明,对比3种成熟度烟叶,GS与QS共检测到176种差异脂质代谢物,GS与SS共检测到21种差异脂质代谢物,SS与QS共检测到140种差异脂质代谢物。筛选出5种差异脂质代谢标志物,包括溶血磷脂酰甘油、单半乳糖甘油二脂、磷脂酰肌醇、磷脂酸、磷酸酰甘油,这5种脂质代谢物可作为判断烟叶不同成熟时期的标志物。
摘要:为解决棚室育苗期间整平机作业效率低、精度不足的问题,结合育棚苗床整平机的农艺要求,设计了一款由机械传动装置和液压系统组成的联合整平机械。使用FluidSIM软件对液压系统进行仿真模拟试验,随后开展液压调试,并采用响应面法分析不同参数对优化后液压系统的整机作业效果的影响,结合田间试验确定最优参数组合。结果显示,优化后的液压系统与整平机的契合度较高,调试试验证实,整平机的稳定性与液压系统密切相关。当整平机前进速度为 1.1km?h-1 夯实机构振动频率为 35Hz 工作时间不超过 0.6h 时,嵌入优化液压系统的整平机相比普通整平机的平整度提高 5% ,土壤坚实度提高 50% 。该液压系统显著提升了苗床联合整平机作业的精准度,使其综合性能达到最佳水平,为水稻幼苗的生长环境提供了良好的基础保障。
摘要:为获得滚筒堆肥反应器混料抄板合理设计参数,解决反应器内堆肥物料混匀效果差、发酵效率低的问题,以滚筒反应器混料抄板为研究对象,采用EDEM法建立牛粪-玉米秸秆混料模型,以抄板高度、抄板安装角度、滚筒截面抄板数量为试验因素,以物料颗粒分布比例变异系数为评价指标开展仿真试验,通过响应曲面法分析各因素对混料抄板混料效果的影响,并搭建滚筒混料试验平台,开展性能验证试验。结果表明,影响混料抄板混料效果的因素依次为抄板安装角度、滚筒截面抄板数量和抄板高度;最优混料抄板参数为抄板高度0.6R(R为滚筒内径半径)安装角度 60° 、滚筒截面抄板数量6条;在此条件下物料混合均匀度最好,滚筒转动10圈混合均匀度可达 91.24% 。性能验证试验表明,相较于优化前的混料抄板,优化后的混料抄板混料效率提升 30% 以上,优化后的处理高温持续时间提高1d,水分脱除效率提升2.5倍,种子发芽指数提高约 10% 。研究结果为提升滚筒堆肥反应器性能、优化滚筒反应器抄板设计提供参考。
摘要:为了在设计时金针菇切割设备刀具精确结合剪切力、提高刀具设计中仿真效果和实际作业效果的准确性,以采收期的金针菇为研究对象,进行离散元仿真参数标定与分析。通过搭建测试平台,测定金针菇与白钢的碰撞恢复系数、静摩擦与动摩擦系数等接触参数;基于离散元仿真模型,通过仿真堆积角与仿真剪切试验,以金针菇之间的碰撞恢复系数、静摩擦与动摩擦系数,金针菇颗粒之间的法向、切向接触刚度与临界法向、切向应力为试验因素,以堆积角度与剪切力为评价指标,利用Box-Behnken响应面法与Central CompositeDesign中心组合设计响应面试验进行多目标优化仿真标定。结果表明,金针菇之间的碰撞恢复系数为0.513、静摩擦系数为0.198、动摩擦系数为0.072;法向、切向接触刚度分别为 3.70×108 和 2.51×108N?m-1 ,临界法向、切向应力均为 9.0×106Pa? 最优参数组合条件下仿真与物理对比试验表明,仿真与物理试验中堆积角、剪切力的相对误差分别为 0.75%.1.64% 。研究结果可为金针菇之间、金针菇与农具之间的离散元仿真分析及金针菇切根机构的设计提供参考。
摘要:针对猕猴桃采摘季节性强且人力成本较高的问题,设计了一款猕猴桃采摘机械手,由机械臂和末端执行器组成,能够对棚架下呈不同姿态的猕猴桃实现柔性接触和采摘。首先,结合猕猴桃果园场景特征及果实维管束的特点,确定仿人工采摘的机械手作业方式,末端执行器围绕实现夹持果实并弯折其维管束功能,同时被机械臂带动在棚架下移动;然后,完成机械臂的结构设计,末端执行器借鉴人工采摘方法,其手爪的外表面覆盖硅胶包裹层;最后,基于DH(denavit hartenberg)参数法建立机械手运动模型,并对其正逆运动学进行分析。结果表明,使用硅胶包裹的手爪在夹持弼猴桃时果实所受最大应力为 0.13MPa ,相较于未使用硅胶包裹降低 26.14% ;相对于UR5机械臂,基于蒙特卡罗随机采样法在MATLAB中构建的机械手采摘对比工作空间表明,该机械手采摘高度更高、范围更大,可采摘相对固定底座高 1020~1320mm 半径 552mm 空间范围内的猕猴桃;采用五次多项式插值的结果表明,其运动曲线具有较平滑的运动特性;机械系统动力学自动分析中的仿真采摘验证了机械臂和末端执行器的协同作业能力,能够满足采摘需要。
摘要:为探究根际促生菌与壳寡糖协同施用对棉花枯萎病的生物防治效果,从新疆枯萎病发病棉株的根际土壤中获得1株能够抑制棉花枯萎病菌生长的解淀粉芽孢杆菌KW5,通过盆栽试验探究其与壳寡糖配施的协同生防效果。结果表明,KW5能够高效抑制棉花枯萎病菌,且具有解磷、解钾、吲哚乙酸(indole-3-acetic acid,IAA)合成、铁载体合成及耐盐能力。接种KW5后,棉花的光合性能、抗氧化酶活性、促生抗病能力均增强,与对照相比,接种KW5后棉花叶片的蒸腾速率、净光合速率、过氧化氢酶活性、超氧化物歧化酶活性、株高、地上部及地下部干重分别增加 134.449%.66.81%.307.04%.58.47%.113.11%.94.24% 和 158.18% ,且叶片的丙二醛含量和棉花的相对病情指数分别降低 17.24% 和 37.17% 。KW5与壳寡糖配施处理对棉花的抗病促生效果显著优于单一处理。联合配施后,叶片的气孔导度、蒸腾速率、净光合速率、过氧化氢酶活性、超氧化物歧化酶活性、过氧化物酶活性、株高、根长、地上部及地下部干重显著提升,分别增加 53.28%.216.67%.151.53% !497.00% 、 108.60% 24.64% 、 157.74% ) 64.80% 、 136.69% 和 192.73% ,丙二醛含量降低 36.09% ,相对病情指数降低 52.85% ,防效为 53.00% 。综上所述,获得了1株能够抑制棉花枯萎病菌及促棉花生长的多功能根际促生菌解淀粉芽孢杆菌KW5,该菌株与壳寡糖配施的效果优于单一施用。研究结果为棉花生长调控及棉花枯萎病的微生物防治提供理论依据和技术支持。
摘要:为筛选烟草青枯病的生物标志物,实现对烟草青枯病发生的预测,以烤烟品种‘云烟87'为试验材料,对来自贵州天柱县、湖南郴州市和湖南湘西土家族苗族自治州的健康植株和发病植株的根际和根内微生物进行16SrRNA测序,利用统计学方法分析根系细菌群落的多样性,并对健康和发病植株根系细菌群落进行比较分析,构建分子生态网络并识别核心微生物;同时,采用随机森林算法构建烟草根系微生物组与青枯病害的预测模型,并筛选对模型预测准确性贡献大的细菌类群。结果表明,来自贵州天柱县、湖南郴州市和湖南湘西土家族苗族自治州这3个产地的烟草根际和根内细菌多样性存在显著差异,但健康烟草与发病烟草根际和根内细菌的Shannon指数和Chao1指数无显著差异。基于健康和发病烟草根际和根内细菌群落的相对丰度,筛选出13种显著差异的细菌群落;通过分子生态网络,在根际和根内分别鉴定出11和15种与青枯病高度相关的细菌群落;构建的随机森林预测模型对根际和根内细菌群落的预测准确率均超过 75% ,并从中筛选对模型预测准确性贡献最大的前15种微生物群落。综合差异分析、分子生态网络分析和机器学习3种方法,在根际细菌群落中筛选到无色杆菌(Achromobacter)等、在根内中筛选到戴尔福特菌(Delftia)等可靠的生物标志物。研究结果揭示了烟草根际和根内细菌群落中可靠的青枯病生物标志物,为未来基于扩增子测序数据预防青枯病的发生提供了理论基础。
摘要:为研究蒸煮方式对黑米食味品质的影响,以3种不同直链淀粉含量的黑米品种色变黑米(SBHM)、黑香11(HX11)和黑旱551(H551)为材料,采用传统电饭煲和电磁加热电饭煲蒸煮2种方式,测定黑米的蒸煮食味品质及溶出淀粉的形态特征。结果表明,不同直链淀粉含量的黑米食味品质差异显著,低直链淀粉含量的SBHM食味品质比高直链淀粉含量的HX11、H551更优。黑米饭感官评价结果表明,电磁加热电饭煲蒸煮的黑米饭黏附性和弹性均高于传统电饭煲。电磁加热电饭煲蒸煮促进黑米淀粉颗粒的溶胀,破坏淀粉的结晶结构,从而增加淀粉的溶出量,导致黑米饭表面黏附层增厚。电磁加热电饭煲蒸煮的黑米微观形貌更光滑,黑米饭的黏性增加从而提升黑米饭的食用口感。对溶出淀粉精细结构测定结果表明,电磁加热电饭煲蒸煮对支链淀粉的链长分布无显著影响,而对淀粉的相对分子量有显著影响,表明相对分子量比支链淀粉的链长分布对米饭黏附性的影响更大。研究结果为育种工作中优化黑米的食味品质提供了理论支撑与参考依据。
摘要:为探明新疆鲜食葡萄邻苯二甲酸酯(phthalate ester,PAEs)污染水平、产区差异及其来源,以天山北麓、吐哈盆地、伊犁地区、环塔里木盆地4个产区69份鲜食葡萄样品为研究对象,测定其PAEs的污染水平及单体含量的产区差异,采用气相色谱-质谱联用法(gas chromatography-massspectrometer,GC-MS)进行分析,并采用点评估法和主成分分析法进行膳食暴露风险评估及来源解析。结果表明,评估区样品中共检测出9种PAEs单体,含量在 40.92~133.98μg?kg-1 ,平均含量为 66.97μg?kg-1 ;以邻苯二甲酸丁基苄基酯(benzylbutyl ester,BBP)、邻苯二甲酸二正辛酯(di-n-octyl phthalate,DNOP)、邻苯二甲酸二甲酯(dimethyl phthalate,DMP)为主要单体,占比达 74% 。4产区样品中检出PAEs单体含量及种类不同,PAEs含量占比由高到低依次为天山北麓、伊犁地区、吐哈盆地、环塔里木盆地;其中天山北麓产区占比较高的PAEs单体为BBP、DNOP、邻苯二甲酸二异丁酯(diisobutyl phthalate,DIBP)、邻苯二甲酸二正丁酯(dibutyl phthalate,DBP)、DMP,伊犁产区占比较高PAEs单体则为BBP、DNOP、邻苯二甲酸二(2-乙基)已酯[bis(2-ethylhexyl) phthalate,DEHP]、DMP,南疆地区与吐哈盆地产区占比较高的PAEs单体为BBP、DNOP、DMP。检出BBP、DEHP、DBP这3种PAEs单体健康风险指数均小于1。BBP、邻苯二甲酸二(4-甲基-2-戊基)酯[bis(4-methyl-2-pentyl)phthalate,BMPP]、DMP、DIBP、DBP来源具有多源性,DEHP、DIDP、DNOP、邻苯二甲酸二异壬酯(disononylortho-phthalate,DINP)来源于同个污染源,主要为农膜。综上所述,新疆鲜食葡萄存在PAEs检出的现象(膳食健康风险处于安全水平),且检出单体种类、含量在产区间存在差异,宜根据该差异性及污染来源,控制农膜(外源PAEs)的投入,并加强鲜食葡萄PAEs监测。研究结果为新疆鲜食葡萄安全生产提供理论支撑。
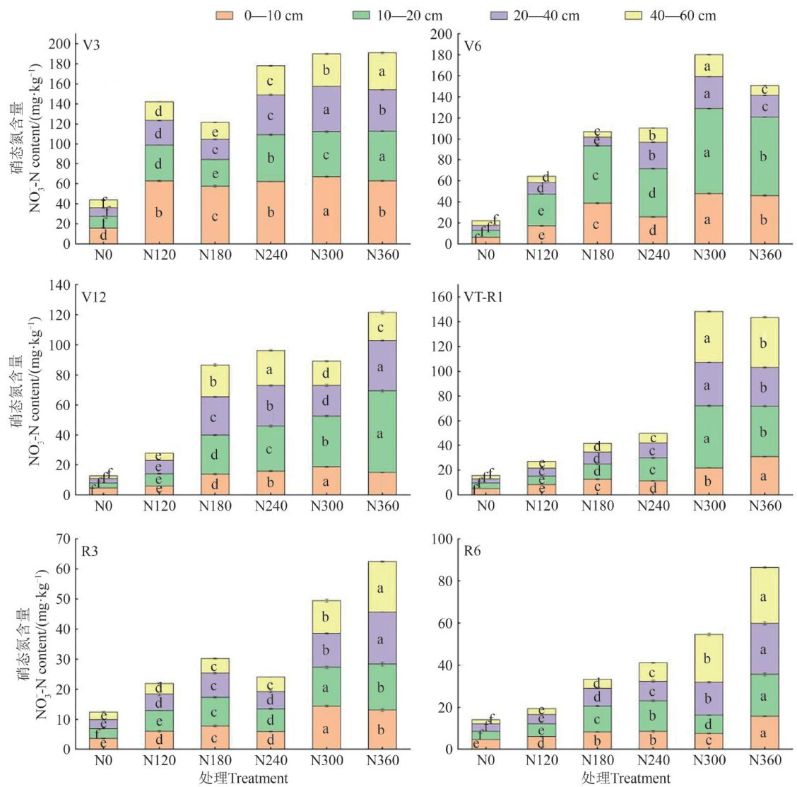
摘要:为确定不同缓释氮肥施用量下农牧交错区内蒙古段玉米田土壤无机氮和微生物量氮的分布特征,研究不同缓释氮肥施用量 (0,120,180,240,300,360kg?hm-2) 对土壤无机氮、微生物量氮及可溶性有机氮含量在玉米生育期0— 60cm 土层的动态变化规律,以及对玉米产量和氮肥利用效率的影响。结果表明,土壤硝态氮含量在不同施氮处理间差异显著,于苗期随着土层的加深呈下降趋势,其他时期峰值多集中在 10-20cm 土层;施氮量过高容易在植株生长中后期向 40cm 以下王层发生淋溶现象。不同缓释氮肥施用量处理的土壤铵态氮含量在玉米整个生育时期内变化较小,且各处理间差异不显著,含量均在 10mg?kg-1 以下。土壤微生物量氮含量在抽雄至吐丝期高于其他生育期;且在 10-20cm 土层含量最高;缓释氮肥施用量为 180~300kg?hm-2 时土壤微生物量氮含量表现较好,其中施用量为 240kg?hm-2 时多次呈现峰值。土壤可溶性有机氮含量于大喇叭口期表现为先增加后减少;当缓释氮肥施用量为 360kg?hm-2 时,土壤可溶性氮含量在植株生长中后期下降较快,说明施氮量过高容易破坏土壤微生物生长环境,进而影响土壤可溶性有机氮含量。当缓释氮肥施用量为 240kg?hm-2 时,玉米产量较其他处理增加 0.57%~57.19% 。依据回归模型,随着缓释氮肥施用量的增多玉米的产量和氮肥贡献率先增加后下降,峰值分别为 226.68?202.50kg?hm-2 ;而氮肥农学利用率和氮肥偏生产力表现为在缓释氮肥施用量为 120~360kg?hm-2 时逐渐降低。土壤各氮组分含量与玉米产量呈显著正相关。综合得出,在内蒙古农牧交错区种植耐密宜机收玉米的最佳缓释氮肥施用量为 240kg?hm-2 。以上研究结果为该区域合理施氮量选择和减少氮素流失提供科学依据。
摘要:为了探明施用食用菌菌渣对土壤有机碳(soil organic carbon,SOC)及其组分的影响,通过整合全球范围内施用菌渣相关的46篇文献,采用 Meta 分析的方法,量化分析了施用菌渣对SOC及其组分的影响。结果表明,施用菌渣可显著提高SOC及其组分含量,其中SOC增加 32.2% ,其活性组分中,可溶性有机碳(dissolvedorganic carbon,DOC)、微生物量碳(microbial biomass carbon,MBC)、颗粒有机碳(particulate organic carbon,POC)、易氧化有机碳(permanganate oxidativeorganic carbon,POXC)分别增加 45.5% 113.4% 、 46.8% 、 33.9% ,MBC对施用菌渣的响应最显著,说明SOC的分解转化主要受土壤微生物的影响。施用菌渣处理的SOC效应值与DOC、MBC、POXC呈正相关,与MBC呈负相关。与不施肥相比,当年平均温度 ?15% 、年平均降水>1000mm 的地区施用菌渣处理的SOC增幅较大;不同土地利用类型下,沙地土壤具有最大的固碳潜力;不同土层深度下, 0-20cm 土层的SOC及其组分增幅较大;菌渣直接施用时,SOC及其组分的增幅更高,且随着施用菌渣年限延长,SOC及其组分的增幅逐渐降低。由此可见,养分供应充足的土壤,SOC的固存潜力较低,菌渣的养分含量越高,SOC及其组分的增幅随之减小,说明土壤和菌渣的初始养分含量越高并不意味着具有较高的固碳效应,可能还取决于其他影响因素。
摘要:为探明脱叶剂对不同种植模式下海岛棉机采效应及产量与品质的影响,以海岛棉品种新78为试验材料,采用两因素裂区试验设计,设置1膜3行(S3)、1膜6行(S6)2种植模式和 150(F1)、300(F2)、450g?hm-2 (F3)3个脱叶剂喷施剂量,以喷施清水为对照(CK),研究脱叶剂剂量对不同种植模式下海岛棉机采效应及产量与品质的影响。结果表明,S3种植模式下海岛棉的机采质量、单铃重、断裂比强度和伸长率较S6种植模式显著提高 4.5%,2.2%,1.4% 和 1.6% ,而S6种植模式可显著提高海岛棉单株结铃数,其籽棉产量较S3种植模式平均增产 14.3% 。同一种植模式下,F2和F3处理的脱叶催熟效果较好,但F3处理会对纤维品质产生负面影响。综上所述,在本试验条件下,推荐海岛棉棉田采用1膜6行种植模式,同时配合喷施 80% 噻苯隆水分散粒剂 300g?hm-2 和 40% 乙烯利水剂 1500mL?hm-2 ,符合机械采收标准的同时保证较高的棉花产量与品质。
摘要:为探究不同覆盖措施对寒地苹果园土壤微生物群落组成、相对丰度及多样性的影响,以寒地‘龙丰'苹果园为研究对象,采用高通量测序技术,以清耕为对照,研究4种覆盖(稻草、玉米秸秆、食用菌菌渣和园艺地布)下土壤细菌和真菌的群落结构、物种差异及多样性。结果表明,园艺地布覆盖显著提高了细菌放线菌门以及真菌担子菌门相对丰度;秸秆和菌渣覆盖提高了细菌变形菌门、拟杆菌门和粘菌门以及真菌子囊菌门的相对丰度,显著降低细菌芽单胞菌门以及真菌担子菌门和被孢霉门相对丰度。Beta多样性分析表明,秸秆和菌渣覆盖下土壤细菌和真菌群落结构更相似,与对照存在明显差异。Alpha多样性分析表明,菌渣覆盖下土壤细菌和真菌丰富度以及多样性指数较对照均显著提高,园艺地布覆盖显著提高了土壤细菌丰富度指数;土壤真菌多样性指数在不同覆盖处理下均显著提高,有机物覆盖显著提高土壤真菌丰富度指数。综上可知,覆盖措施显著影响了寒地苹果园土壤微生物群落结构,并不同程度提高了土壤微生物多样性,其中菌渣覆盖的效果最好。研究结果为寒地苹果园覆盖栽培技术的研究提供了理论依据。
摘要:为探究磷(P)元素对芳樟幼苗生长、光合特性以及叶精油含量的影响,以2年生芳樟扦插苗为材料,设置 ?0.04(P1)?0.20(P2)?1.00(P3)?2.00mol?L-1(P4)4 个磷元素添加水平,以不施磷为对照(CK),分析不同磷水平下幼苗苗高、地径、叶面积、生物量积累、叶绿素含量、光合特性、叶片丙二醛含量及叶精油含量的差异。结果表明,磷添加对芳樟幼苗生物量积累、光合特性、精油得率、芳樟醇产量影响显著。P2和P3处理下苗高、叶面积、叶及全株生物量显著高于CK,但地径生长和根生物量积累差异不显著。磷元素添加有利于提高芳樟幼苗叶片中叶绿素a、叶绿素b含量,通过提高叶片净光合速率、气孔导度、蒸腾作用、光补偿点、暗呼吸速率等光合特征参数增强光合作用。随着磷用量的增加,叶片丙二醛含量呈先下降后升高的趋势。叶精油得率和芳樟醇产量均在P2处理下最高,分别较CK提升 22.50%.50.00% 。相关分析表明,叶精油得率、芳樟醇产量均与叶生物量、叶绿素a、叶绿素b呈显著正相关。综上所述,磷元素可显著提高芳樟幼苗生长量、光合特性以及叶精油得率和芳樟醇产量, 0.2mol?L-1 磷条件下效果最佳。研究结果为芳樟原料林的定向培育和优质高效栽培提供磷肥施用理论依据。
摘要:为鉴定线香中主要挥发性成分,进一步揭示这些成分在不同样品间的差异及其对香气特征的贡献,采用顶空固相微萃取-气相色谱-质谱联用技术(headspace solid-phase microextraction gas chromatography-massspectrometry,HS-SPME-GC-MS)结合多元统计分析方法对粘粉燃烧产物、金银花粉、金银花粉燃烧产物、线香燃烧产物中挥发性成分进行提取鉴定,并确定关键挥发性成分。结果表明,从4种样品中共鉴定出102种挥发性成分,以芳香族、杂环类、酮类化合物等成分为主。主成分分析、正交偏最小二乘法判别分析及聚类热图分析表明,金银花粉燃烧产物和线香燃烧产物挥发性成分组成相似,与粘粉燃烧产物及金银花粉挥发性成分存在较大差异,并筛选出25种投影变量的重要性(variable important for theprojection, VIP)>1 的关键挥发性成分。研究结果为金银花线香的进一步开发提供理论依据,也为中药材的应用拓展了新方向。
摘要:为优化棉花茎杆皮中天然色素的提取工艺,并分析其抗氧化活性,以1,1-二苯基-2-三硝基苯册(1,1-diphenyl-2-picrylhydrazyl radical,DPPH)自由基 ?2,2? -联氨-双-3-乙基苯并噻唑啉-6-磺酸 (2,2° -azino-bis3-ethylbenzothiazoline-6-sulfonicacid,ABTS)自由基清除能力和铁还原力作为关键指标,采用超声辅助技术与响应面法相结合的策略优化其提取条件。结果表明,最佳的色素提取条件为液料比 104.036mL-g-1 、乙醇含量73.462% 、超声温度 59.801°C 、超声浸提时间 100.056min ,在此条件下提取的色素含量为 51.646mg?g-1 。抗氧化试验表明,该色素对DPPH、ABTS自由基及铁离子具有强大清除能力,对DPPH自由基的半抑制浓度(halfmaximalinhibitoryconcentration, IC50 为 46.20139μg?mL-1 ,对ABTS自由基的 IC50 为 19.542 30μg?mL-1 。铁还原力试验表明,当色素含量为 1mg?mL-1 时,其表现与维生素C几乎相当。研究结果为棉花的综合利用开辟了新途径,特别是在资源高效利用和食品添加剂开发等领域展现出广阔的应用前景。
《中国农业科技导报(中英文)》创刊于1999年6月,月刊,由中华人民共和国农业农村部主管,中国农村技术开发中心主办,全面为科教兴农服务,是具有权威性、导向性、代表国家农业科技发展的综合性农业学术期刊。 本刊是中文核心期刊、中国科技核心期刊、中国科学引文数据库收录期刊、RCCSE中国核心学术期刊、中国农业核心期刊,中国期刊网、《中国学术期刊(光盘版)》全文收录期刊,中国学术期刊综合评价数据库来源期